A-SITUATION D’APPRENTISSAGE
Une élève en classe de première, décide de faire un jardin de tomates dans la grande cour familiale. Pour l’encourager, son père lui offre 20 mètres de grillage pour la clôture qu’elle décide d’utiliser entièrement. Elle décide de réaliser son jardin de forme rectangulaire comme l’indique la figure ci-dessous, laissant sans clôture un de ses côtés dans le sens de la longueur.
Elle veut que l’aire du jardin soit de 48 m2. Devant la difficulté à déterminer les dimensions de ce jardin, elle explique sa préoccupation à ses camarades de classe. Ensemble, ils décident de déterminer les dimensions du jardin.

B- CONTENU DE LA LECON
I- EQUATIONS ET INEQUATIONS DU SECOND DEGRE DANS IR
1- Discriminant d’un polynôme du second degré
a) Définition
On considère le polynôme du second degré P tel que : P(x) = ax² + bx + c, où a ≠ 0.
On appelle discriminant du polynôme P le nombre réel noté ∆ défini par : ∆= b2 − 4ac.
Exemple
Soit le polynôme du second degré P tel que : P(x) = 3x² + 2x − 4.
Dans ce cas on a : a = 3; b = 2 et c = −4
Son discriminant : ∆ = 2² − 4 × 3 × (−4) = 52
b) Propriété
On considère le polynôme du second degré P tel que : P(x) = ax² + bx + c, où a ≠ 0, et ∆ son discriminant.

La forme factorisée de P(x) est : P(x) = a(x − x1)(x − x2).
![]()
Dans ce cas la forme factorisée de P(x) est : P(x) = a(x − x0)²
• Si ∆ < 0, P n’admet pas de zéro et P n’est pas factorisable.
Exercice de fixation
Calcule les zéros éventuels des polynômes P, Q et R ci-dessous, puis factorise si possible
chacun d’eux.
P(x) = −2x² + x − 3 , Q(x) = x² − 4x + 4 et R(x) = 2x² + 3x − 5
Solution
• Pour le polynôme P : ∆= −23 , ∆< 0 donc P n’admet pas de zéro.
P n’est pas factorisable.
• Pour le polynôme Q : ∆= 0, donc Q admet un zéro double x0 et on a :
![]()
Q est factorisable et on a : Q(x) = (x − 2)²
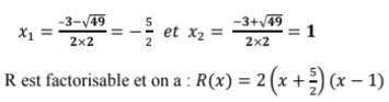
• Pour le polynôme R : ∆= 49 , ∆> 0 donc R admet deux zéros distincts x1 et x2 et
on a :

2- Equations du second Degré
a) Définition
On appelle équation du second degré, toute équation de la forme : x ∈ R, ax² + bx + c = 0, où a, b, et c sont des nombres réels et a ≠ 0.
Exemple
L’équation : x ∈ R, −3x² + x + 4 = 0 est une équation du second degré.
b) Résolution d’une équation du second degré
➢ Résolution algébrique
Résoudre l’équation du second degré x ∈ R, ax² + bx + c = 0 revient à déterminer les zéros éventuels du polynôme du second degré P tel que ∶ P(x) = ax² + bx + c.
Exercice de fixation
Résous dans R l’équation suivante : − x²+ x + 2 = 0.
Solution :
Δ = − 1² − 4 ×(−1) × 2 = 9 Δ > 0 donc l’équation admet deux solutions distinctes.
![]()
Remarque
Si l’équation du second degré(E) : x ∈ R , ax² + bx + c = 0 est telle que a et c sont de
signes contraires, (le discriminant est positif dans ce cas), alors l’équation (E) admet deux solutions distinctes.
➢ Résolution graphique
Pour résoudre graphiquement l’équation (E) : x ∈ R, ax² + bx + c = 0, on peut utiliser le tableau récapitulatif suivant.


Exercice de fixation
Les courbes (Cf), (Cg) et (Ch) ci-dessous sont les représentations graphiques respectives des fonctions polynômes du second degré ƒ, g et h.

Résous graphiquement les équations du second degré suivantes :
a) x ∈ R, ƒ(x) = 0 ; b) x ∈ R, g(x) = 0 ; c) x ∈ R , h(x) = 0.
Solution
a) La courbe (Cf) coupe l’axe des abscisses au point d’abscisse 3. Par suite l’ensemble des solutions de l’équation : x ∈ R, ƒ(x) = 0 est : S = {3}.
b) La courbe (Cg) ne coupe pas l’axe des abscisses. Par suite l’ensemble des solutions de
l’équation x ∈ R, g(x) = 0 est : S = ∅.
c) La courbe (Ch) coupe l’axe des abscisses aux points d’abscisses −1 et 2. Par suite
l’ensemble des solutions de l’équation : x ∈ R, h(x) = 0 est : S = {−1; 2}.
c) Somme et produit des solutions d’une équation du second degré
Propriété 1
Si l’équation du second degré x ∈ R, ax² + bx + c = 0 possède deux solutions x1 et x2 ,
(distinctes ou non) alors : ![]()
Exercice de fixation
L’équation (E): x ∈ R, x² + 5x + 4 = 0 admet deux solutions dont l’une est −1.
Détermine l’autre solution de (E).
Solution
Soit x1 = −1 et x² l’autre solution de (E).

Propriété 2
Soit S et P deux nombres réels.
Si S² − 4P ≥ 0, alors il existe deux nombres réels dont la somme est S et le produit est P.
Ces deux nombres sont les solutions de l’équation : x² − Sx + P = 0.
Point méthode
Pour déterminer deux nombres réels dont on connaît la somme Set le produit P, on peut
procéder de la manière suivante :
– on vérifie que : S² − 4P ≥ 0 ;
– on résout l’équation x² − Sx + P = 0 ;
– les nombres réels recherchés sont les solutions de l’équation précédente.
Exercice de fixation
Détermine deux nombres réels s’ils existent dont leur somme est −3 et leur produit est −4
Solution
Soit S = −3 et P = −4
On a : S² − 4P = 9 + 16 = 25 ; S² − 4P ≥ 0.
Ces deux nombres existent et sont solutions de l’équation x² + 3x – 4 = 0
![]()
Ces deux nombres sont : 1 et − 4.
3- Inéquations du second degré
a) Signe d’un polynôme du second degré
Propriété
Soit P le polynôme du second degré définie par : P(x) = ax² + bx + c où a, b et c sont des nombres réels et a ≠ 0 et ∆ son discriminant.
• Si ∆ > 0, le polynôme P a deux zéros distincts x1 et x2. (on suppose que x1 < x2 )
On obtient le tableau de signes suivant :

• Si ∆ = 0, alors le polynôme P admet un zéro double x0 ; on obtient le tableau :

• Si ∆< 0, le polynôme n’admet pas de zéro ; on obtient le tableau suivant :
![]()

Exercice de fixation
Etudie le signe de chacun des polynômes suivants, connaissant leurs zéros éventuels :
1) P(x) = 2x² − 8x + 6, les zéros de P sont 1 et 3 ;
2) Q(x) = −2x² − 8x − 11, Q n’a pas de zéro ;
3) R(x) = −x² + 10x − 25, le zéro de R est 5.
Solution
1) P(x) = 2x² − 8x + 6, les zéros P sont 1 et 3, le discriminant ∆ de P est positif (∆> 0).
Le coefficient de x² est a = 2 , a > 0. On obtient le tableau de signes suivant :

• Pour x ∈ ]−∞, 1[ ∪ ]3, +∞[, P(x) > 0,
• Pour x ∈ ]1; 3[, P(x) < 0
• Pour x ∈ {1; 3}, P(x) = 0.
2) Q(x) = −2x² − 8x − 11, Q n’a pas de zéro ; ∆< 0 .
Le coefficient a de x² est a = −2 et a < 0.
On obtient le tableau de signes suivant :

Pour tout x ∈ R, Q(x) < 0
3) R(x) = −x² + 10x − 25, le zéro de R est 5. ∆= 0
Le coefficient a de x² est a = −1 et a < 0.
On obtient donc le tableau de signe suivant :

• Pour x ∈ ]−∞, 5[ ∪ ]5, +∞[, R(x) < 0,
• Pourx ∈ {5}, R(x) = 0.
b) Définition d’une inéquation du second degré
Soit P un polynôme du second degré défini par P(x) = ax2 + bx + c où a, b,et c sont des nombres réels avec a ≠ 0 .
Toute inéquation de l’un des types ci-dessous est appelée inéquation du second degré.
x ∈ R, P(x) > 0 ; x ∈ R, P(x) ≥ 0 ; x ∈ R, P(x) < 0 ; x ∈ R, P(x) ≤ 0.
Exemple
L’inéquation : x ∈ R, −3x² + 5x − 2 > 0 est une inéquation du second degré.
c) Résolution d’une inéquation du second degré
Résoudre dans R une inéquation de l’un des types ci-dessus revient à étudier le signe du
polynôme P(x), puis trouver l’intervalle ou les intervalles correspondants à l’ensemble des solutions de l’inéquation.
Exercice de fixation
Résous dans R, les inéquations suivantes :
1) 2x² − 5x + 3 < 0 ; 2) −x² − 4x − 4 ≥ 0 ; 3) x² + x + 2 > 0
Solution
1) Résolution de l’inéquation 2x² − 5x + 3 < 0
On considère le polynôme P tel que : P(x) = 2x² − 5x + 3.
On calcule le discriminant du polynôme P.
∆= (−5)² − 4 × 2 × 3 = 25 − 24 = 1


Pour x ∈ {−2}, Q(x) ≥ 0
SR = {−2}
3) Résolution de l’inéquation x² + x + 2 > 0 ;
On considère le polynôme R tel que : R(x) = x² + x + 2.
On calcule le discriminant du polynôme R.
∆= (1)² − 4 × 1 × 2 = 1 − 8 = −7
Le polynôme R n’admet pas de zéro .
On obtient le tableau de signes suivant :

Pour x ∈ R, R(x) > 0
SR = R
II. EQUATIONS ET INEQUATIONS SE RAMENANT AU SECOND DEGRE DANS R
1-Equations bicarrées
a) Définition
On appelle équation bicarrée une équation du type : x ∈ R, ax⁴ + bx² + c = 0, où a, b et c sont des nombres réels avec a ≠ 0.
Exemple
L’équation : x ∈ R, −3x⁴ + 5x² − 2 = 0 est une équation bicarrée.
b) Résolution d’une équation bicarrée
Point méthode
Pour résoudre une équation du type : x ∈ R, ax⁴ + bx² + c = 0 (a ≠ 0). On peut procéder de la façon suivante :
-on pose : X = x²;
– on résout l’équation du second degré : aX² + bX + c = 0 ;
– on résout, s’il y a lieu, les équations d’inconnue x du type x² = X.
(X étant solution de l’équation aX² + bX + c = 0 )
Exercice de fixation
Résous dans R, l’équation suivante :
2x⁴ – 3x² + 1 = 0
Solution :

2. Equations et inéquations irrationnelles
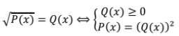
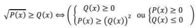
a) Résolution d’une équation irrationnelle du type: x ∈ R, √P(x) = Q(x)
Point méthode
Pour résoudre une équation irrationnelle du type: x ∈ R, √P(x) = Q(x) on peut
Utiliser l’équivalence suivante :
![]()
L’ensemble des solutions de l’équation est l’ensemble des solutions du système.
Exercice de fixation
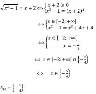
Résous dans R, l’équation √x² − 1 = x + 2.
Solution

b) Résolution d’une inéquation irrationnelle du type: x ∈ R, √P(x) < Q(x).
Point méthode
Pour résoudre une inéquation irrationnelle du type: x ∈ R, √P(x) < Q(x) on peut utiliser
l’équivalence suivante :

L’ensemble des solutions de l’inéquation est l’ensemble des solutions du système.
Exercice de fixation
Résous dans R l’inéquation √x² + 5x + 2x +1
Solution

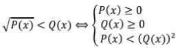
c) Résolution d’une inéquation irrationnelle du type: x ∈ R, √P(x) ≥ Q(x)
Point méthode
Pour résoudre une inéquation irrationnelle du type: x ∈ R, √P(x) ≥ Q(x) on peut utiliser
l’équivalence suivante :
![]()
L’ensemble des solutions de l’inéquation est l’ensemble des solutions du système.
Exercice de fixation
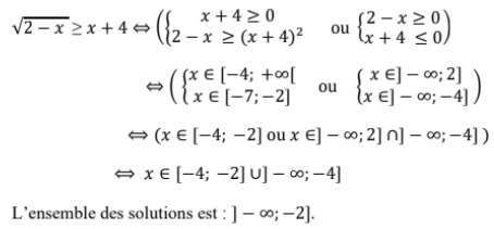
Résous dans R, l’inéquation : √2 − x ≥ x + 4
Solution

C. SITUATION COMPLEXE
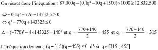
Lors d’une visite d’entreprise, les élèves d’une classe de 1ère scientifique ont été informés que dans cette entreprise, le coût de production de q objets et les frais d’entretien sont donnés en milliers de francs CFA par la formule c(q) = 0,1q2 + 10 q + 1500 et que chaque objet est vendu à 87.000 F. Un agent de cette entreprise affirme que pour maintenir le bénéfice supérieur ou égal à 12.832.500 F, le nombre d’objets q à produire doit être compris entre 310 et 460.
En utilisant leurs acquis mathématiques, les élèves doivent vérifier si l’agent a raison ou pas.
A l’aide d’une production argumentée, dis si l’agent a raison.
Corrigé
Pour résoudre ce problème nous allons utiliser la leçon équations et inéquations dans R pour cela nous allons :
– le bénéfice en fonction du nombre d’objets fabriqué
– déterminer le nombre d’objet pour que le bénéfice soit supérieur ou égal à 12.832.500 F
– puis conclure
Le bénéfice est : 87.000q – c(q)en milliers de FCFA

Pour que le bénéfice soit supérieur à 12.832.500 FCFA il faut que le nombre d’objets q soit compris entre 315 et 455 or [315; 455] ⊂ [310; 460].
Donc l’agent de l’entreprise a raison
D-EXERCICES
EXERCICES DE FIXATION
Exercice 1
Écris le numéro et la lettre correspondant à la bonne réponse


1- b 2-c 3-c 4- a 5-a
Exercices 2 : Complète le tableau suivant :

Exercice 3
Par la méthode du discriminant, résous dans R chacune des équations suivantes :
1) − 2x² + 5x + 3 = 0
2) 9x² + 4x + 5 = 0
3) √2x² + (1 − √2)x − 1 = 0

Exercices de renforcement
Exercice 4
Dans chacun des cas suivants, détermine deux nombres réels s’ils existent, dont on connait la somme S et le produit P.
1) S = 28 ; P = 195
2) S = 2√5 ; P = 3
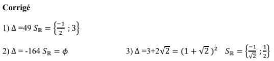
Corrigé
1) S² – 4P=4≥ 0 donc il existe deux nombres x1 = 12 et x2 = 16 solution de l’équation x²−
Sx + P = 0
2) S² – 4P=8≥ 0 donc il existe deux nombres x1 = √5 -√2 et x2 = √5 +√2 solution de
l’équation x² − Sx + P = 0
Exercice 5
Détermine deux entiers consécutifs dont la somme des carrés est 41.
Corrigé
Soit n un entier relatif on a n² + (n+1)² =41 on obtient n= -5 et n=4 donc on aura :
-5 et -4 OU 4 et 5
Exercice 6
Résous dans R les inéquations suivantes :
(I1): x² – 2x + 3 > 0
(I2): -3x² + 2x + 5 ≤ 0
Corrigé
• Résolvons (I1): soit p(x)= x² – 2x + 3 étudions le signe de p
Δ =−8 donc pour tout x ∈IR P(x) >0 donc Donc SR = IR
• Résolvons (I2): soit Q(x)= x² – 2x + 3 étudions le signe de Q

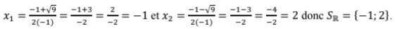
Exercice 7
Résous dans IR l’ équation suivante :x² + 1 = √5 − x²
Corrigé
x² + 1 = √5 − x² ⟺ (x²+1)² =5-x² car x²+5≥ 0
⟺ x⁴ + 3x² − 4 = 0 posons X=x2 l’équation devient :
X² +3X – 4 =0 ;∆= 25; X1 = −4 ; X2 = 1 on a
x² = 1 ⟺ x = 1 et x = −1
SR = {−1,1}
Exercices d’approfondissement
Exercice 8
Détermine les nombres x et y tels que :

Exercice 9
a) Vérifie que : A = √3 + 2 et B = – 3 + 2 sont inverses l’un de l’autre.
b) Vérifie que A + B = 4
c) Déduis-en (sans calcul mais en justifiant) les solutions de l’équation (E) : x² = 4x – 1
Corrigé
a) A×B=(√3 + 2)( – √3 + 2)= -3+4= 1 alors A et B sont inverses l’un de l’autre
b) A+B= √3 + 2 – √3 + 2= 4
c) A+B=4 et A×B=1 donc A et B sont solutions de l’équation x² – 4x +1=0
Exercice 10
L’aire d’un jardin rectangulaire est égale à 360 m².
Si on augmente sa longueur L de 6m et sa largeur I de 6m, alors l’aire est alors égale à 630m².
Détermine les dimensions de ce jardin.
Corrigé
L× l = 360 et (L+6)(l + 6) = 630 ⟺ L× l+6(L+l)+ 36=630
On a L+l= 39 Soit S=39 et P= 360 donc L et l sont solutions de l’équation x² – 39x+360=0
∆= 81 et L= 24 et l = 14
You must be logged in to take the quiz.

