A-SITUATION D’APPRENTISSAGE
Pendant les cours de mécanique dans la classe de seconde, le professeur donne des forces appliquées à un véhicule représenté par le point A dans la figure ci- dessous.

Il demande aux élèves de calculer le travail de chaque force (R2→ ,R1 et→; P→) pour un déplacement de A à B avec AB = 10 m.
L’un d’eux affirme qu’il suffit de calculer le produit des vecteurs forces et du vecteur
déplacement.
Ensemble; les élèves font des recherches sur le produit scalaire de deux vecteurs.
B- CONTENU DE LA LECON
I) Produit scalaire de deux vecteurs
1- Définition :

Exemples :


Exercice de fixation

SOLUTION
![]()
3- Carré scalaire
a) Définition

b) Autre expression du produit scalaire

a) Propriété 1
Pour tous points A, B et C tels que A ≠ B
On a AB→.AC→= AB̅̅̅̅ × AH̅̅̅̅ où H est le projeté orthogonal de C sur la droite (AB)
Exercice de fixation
ABCD est un carré de coté 4cm.
Calcule AB→. AC→ et AB→. AD→
SOLUTION

b) Propriété 2

Exercice de fixation
Dans la figure ci-dessous, ABC est un triangle. ABIJ est un parallélogramme et BC = 4
Calcule le produit scalaire suivant .

3. Propriétés du produit scalaire
4.1 Vecteurs orthogonaux
a- Propriété
Pour tous vecteurs u→ et v→ on a :
u→ et v→ sont orthogonaux si et seulement si u→ . v→ = 0
b- Conséquence
– Soit (D) et (D’) deux droites de vecteurs directeurs respectifs u→ et v→ on a :

Exercice de fixation
ABCD est un carré. Calcule le produit scalaire AC→ . DB→
– SOLUTION
– AC→ . DB→ = 0 car (AC) ⏊ (DB).
4.2 Opération sur les produits scalaires
Propriétés

Exercice de fixation

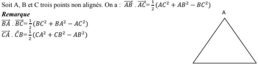
4. Relation métrique dans un triangle
5.1 Produit scalaire dans un triangle
Propriété


Exercice de fixation :

Exercice de fixation
ABC est un triangle n’ayant pas d’angle obtus et H le pied de la hauteur issue de A. On donne
AB = 6 ; BC=9 ; BH=4
Justifie que le triangle ABC est rectangle.
SOLUTION
![]()
6. Produit scalaire de vecteurs connaissant leurs coordonnées
6.1 Expression du produit scalaire dans une base orthonormée

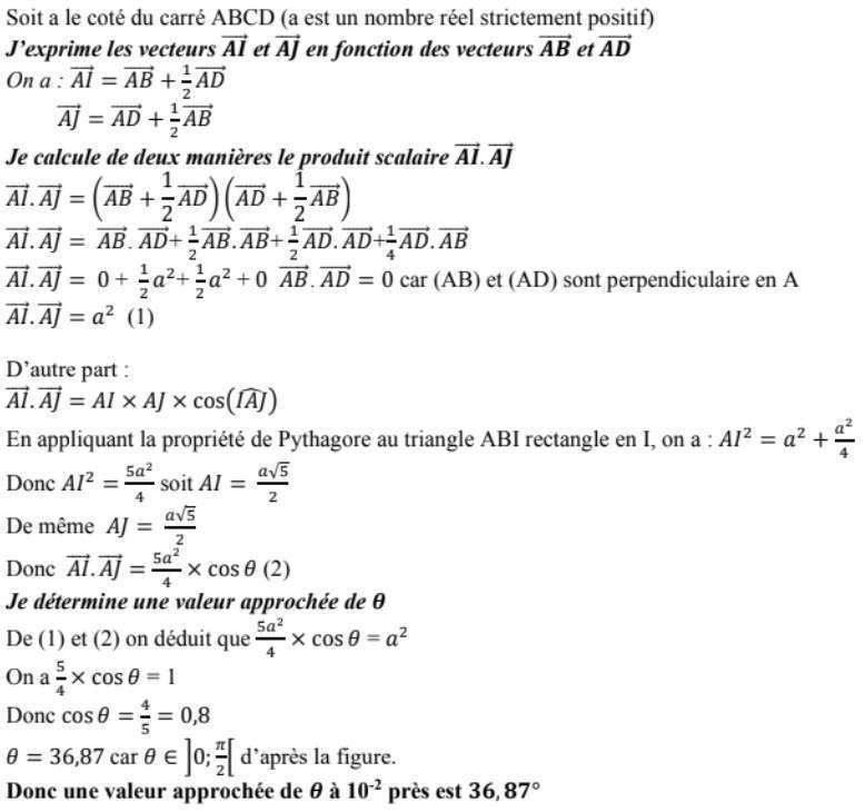
C-Situation complexe
Le père d’une famille partage un terrain de forme carrée à ses trois enfants. Pour éviter le conflit entre les jumeaux, il décide que la parcelle de l’aîné, élève en classe de 2ndc soit entre celles des jumeaux. La figure ci-contre illustre ce partage.
L’ainé curieux voudrait connaitre la mesure de. l’angle θ à 10−2. pour cela il s’adresse au
géomètre qui lui demande de calculer le produit scalaire AI→ . AJ→ . ne sachant pas comment procédé il te sollicite
A l’aide d’une démarche argumentée basée de tes connaissances en mathématiques, répond sa préoccupation.

Solution :

D .EXERCICES D’APPLICATION
EXERCICE 1
Ecris le numéro d’un élément de l’affirmation de l’ensemble A suivi de la lettre qui correspond à un seul élément de l’ensemble B.

SOLUTION
1 C ; 2 D ; 3 E ; 4 A ; 5 B
Exercice 2 :

SOLUTION
1°) VRAI 2°) FAUX 3°) VRAI 4°) FAUX
EXERCICES DE RENFORCEMENT
Exercice 3

Exercice 4
On donne trois points A(1;2), B(4;-3) et C(-1;3) dans le plans rapporté à un repère orthonormé.
Détermine une valeur approchée à 10−1 près de la mesure de l’angle BAC ̂.
SOLUTION


Exercice 5

b) je Démontre que les droites (MB) et (AC) sont perpendiculaires

Exercice 6 :

EXERCICES D’approfondissement
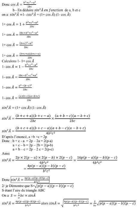
Exercice 7
Soit ABC un triangle
On pose a=BC ; b= AC ; c= AB
On appelle P son demi-périmètre et S son aire. On se propose de calculer S en
fonction de a, b et c



You must be logged in to take the quiz.
