A. – SITUATION D’APPRENTISSAGE
Pendant le cours d’arts plastiques, un professeur demande à ses élèves d’une classe
de 2nd C d’agrandir une image en respectant les proportions. Ne sachant pas comment procéder, ils sollicitent leurs ainés de la 1ère C qui leurs demandes de faire des cherches sur les homothéties.
B. – RESUME DE COURS
I. Définition et premières propriétés
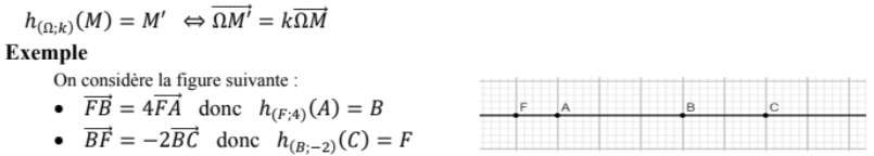
1. Définition
Soit Ω un point du plan et k un nombre réel non nul.
On appelle homothétie de centre Ω et de rapport k, l’application du plan dans lui-même qui, à tout point M du plan associe le point M’du plan tel que : ΩM′→ = kΩM→
➢ Notation
L’homothétie de centre Ω et de rapport k se note : h(Ω;k) , ainsi :

➢ Cas particuliers
• L’homothétie de rapport 1 est l’application identique du plan.
• L’homothétie de centre O et de rapport -1 est la symétrie centrale de centre O.
2. Conséquence de la définition
Propriété
Si M’est l’image de M par une homothétie de centre O, alors les points O, M et M’sont alignés.
Exercice de fixation
Sur la figure ci – dessous, ABB’A’ est un trapèze de petite base [AB]. On admet qu’il existe une homothétie h qui transforme A en A’ et B en B’.
Construis le centre O de cette homothétie.

Solution
– Comme l’homothétie h transforme A en A’ alors son centre O et les points A et A’ sont alignés donc O appartient à la droite (AA’).
– Comme l’homothétie h transforme B en B’ alors son centre O et les points B et B’ sont alignés donc O appartient à la droite (BB’).
O est donc le point d’intersection des droites (AA’) et (BB’)

3. Point invariant
Propriété
Toute homothétie de rapport différent de 1 a un seul point invariant : c’est son centre.
Exercice de fixation
Soit I, J et K trois points alignés du plan et h l’homothétie de centre I qui transforme J en K.
Réponds par Vrai ou par Faux à chacune des affirmations suivantes.
1) h(J) = J 2) h (I) = I 3) h (K) = K
Solution
1) Faux
2) vrai
3) Faux
4. Propriété fondamentale
Propriété
Si M et N sont deux points distincts d’images respectives M’ et N’ par une homothétie de rapport k, alors M′N′→ = kMN→
Exercice de fixation
Soit h une homothétie de centre Ω et de rapport -2.
On donne : h (E) = F et h (S) = T
Réponds par Vrai ou par Faux à chacune des affirmations suivantes :
![]()
Solution
a) Faux ; b) vrai ; c) Faux ; d) Vrai.
II. Images de figures simples
1. Image d’une droite, d’une demie droite
Propriété
• L’image d’une droite par une homothétie est une droite qui lui est parallèle.
• L’image d’une demi-droite par une homothétie est une demie droite.
Exercice de fixation
Dans la figure ci – dessous, (D) est une droite du plan et O est un point donné du plan n’appartenant pas à la droite (D). Construis l’image de la droite (D) par l’homothétie h de centre O et de rapport 3/2.

Solution
Soit A un point de la droite (D) et A’ son image par l’homothétie h de centre O et de rapport 3/2.
On a OA′→ = 3/2OA→ et cette égalité vectorielle permet de construire le point A’ connaissant le point A.
L’image (D’) de la droite (D) est alors la droite passant par A’ et parallèle à (D).

Remarque
Soit h une homothétie de centre O et (D) une droite du plan.
Si O appartient à la droite (D), alors l’image de la droite (D) par h est la droite (D) elle-même.
Dans ce cas on dit que la droite (D) est globalement invariante par l’homothétie h.
2. Image d’un segment
Propriété 1
Si A et B sont deux points distincts du plan d’images respectives A’ et B’ par une homothétie de rapport k, alors l’image du segment [AB] par cette homothétie est le segment [A′B′] et on a :
A’ B’ = |k|AB.
Propriété 2
L’homothétie multiplie les aires de surface plane par le carré de son rapport.
Exercice de fixation
Sur la figure ci-dessous les points A’, B’ et C’ sont les images respectives des points A, B et C par l’homothétie h de centre O et de rapport 2.
On donne AB=6 , AC=5 et BC=7

1. Détermine les images respectives des segments [AB] et [BC] par h.
2. Calcule A’C’ et B’C’.
Solution
1. On a h(A)=A’ et h(B)=B’ donc h([AB])= [A’B’].
De même h(B)=B’ et h(C)=C’ donc h([BC])= [B’C’].
2 .On a h([AC])= [A’C’] donc A’C’= |2|AC = 2×5 = 10
h([BC]) = [B’C’] donc B’C’= |2|BC = 2×7 = 14
3. Image d’un cercle
Propriété
L’image d’un cercle (C ) de centre O et de rayon r par une homothétie h de rapport k est le cercle (C) de centre h(O) et de rayon |k|r.
Exercice de fixation
L’unité de mesure est le centimètre.
Sur la figure ci-contre (C) est le cercle de centre O et de rayon 4 ; I ∉ ( C).
Construis l’image du cercle ( C ) par l’homothétie h de centre I et de rapport −5/4.

Solution
On construit l’image O’ de O par h.
Le rayon de (C’) est 5.
4. Propriétés de conservation
Propriétés :
Par une homothétie ;
➢ Des points alignés ont pour images des points alignés.
➢ Le milieu d’un segment a pour image le milieu de l’image de ce segment.
➢ Deux droites parallèles ont pour images deux droites parallèles.
➢ Deux droites perpendiculaires ont pour images deux droites perpendiculaires.
➢ Un angle orienté a pour image un angle orienté de même mesure.
Exercices de fixation
Exercice 1
ABCD est un parallélogramme de centre O tel que AB = 2AD.
Soit E le symétrique de A par rapport à D et F celui de A par rapport à B.
On considère l’homothétie de centre A et de rapport 2
1. Démontrer que les points E , C et F sont alignés.
2. Justifier que C est le milieu de [EF].
Solutions

Exercice 2
Soient un parallélogramme ABCD de centre I et h l’homothétie de centre A et de rapport 3/2.
On pose B’ = h(B) et D’= h(D).
1. Démontrer que les droites (BD) et (B’D’) sont parallèles.
2. La droite (AC) coupe (B’D’) en K.
Démontrer que le point K est le milieu du segment [B’D’].
Solutions

5. Caractérisation d’une homothétie
5.1- Homothétie caractérisée par son centre, un point et son image
Propriété
Soient A, B et C trois points alignés, deux à deux distincts du plan.
Il existe une homothétie et une seule de centre A qui applique B sur C.
Exercice de fixation
Dans la figure codée ci – dessous, (D) est une droite, A, I et J sont des points de (D).

1. Justifie qu’il existe une seule homothétie de centre I qui applique A sur J.
2. Détermine cette homothétie.
Solution
1. A , I et J sont trois points alignés, deux à deux distincts du plan alors il existe une seule homothétie de centre I qui applique A sur J.
2. Soit h cette homothétie.
On a IJ→ = −IA→ alors h est l’homothétie de centre I et de rapport -1.
5.2- Homothétie caractérisée par son rapport, un point et son image
Propriété
Soient deux points distincts A et B, et k un nombre réel non nul et différent de 1.
Il existe une homothétie et une seule de rapport k qui applique A sur B.
Exercice de fixation
ABC est un triangle, G son centre de gravité et H le milieu de [BC].
Détermine l’homothétie de rapport 3/2 qui applique H sur G.
Solution
Soit O le centre de cette homothétie alors OG↓ = 3/2 OH→ .
Or AG→ = 3/2AH→ donc le centre de cette homothétie est A.
5.3- Homothétie caractérisée par deux points distincts et leurs images
Propriété
Soient M, N, N’et M’ quatre points deux à deux distincts tels que (M’N’) // (MN) et M′N′ ⃗⃗⃗⃗⃗⃗⃗⃗⃗ ≠ MN→ .
Il existe une homothétie et une seule qui applique M sur M’et N sur N’.
Exercice de fixation.
Sur la figure ci-contre ABCD et A’B’C’D’ sont des carrés h est l’homothétie qui transforme A en A ‘,Ben B’ ,C en C’ et D en D’.
Détermine le centre de cette homothétie.

Solution
Ce centre appartient à (AA’) et à(BB’).
Alors c’est le point d’intersection O de (AA’) et (BB’).
C- Situation Complexe
Pendant la lecture d’un ouvrage, Sékou, élève en classe de seconde C au Lycée moderne de Korhogo découvre l’étoile de David qui est un schéma croisé de deux triangles équilatéraux ABC et EFG, comme l’indique la figure ci-dessous.

AB = 6 cm
EF = 6 cm
Impressionné par cette figure, Il désire la reproduire, mais il ne dispose que d’une feuille de forme carrée de côté 4 cm. Sa feuille n’étant pas très grande, il souhaite avoir la plus grande reproduction possible. Ne sachant pas comment procéder, il te sollicite.
En utilisant tes connaissances en mathématiques, apporte une solution à la préoccupation de Sékou.
Solution
Pour apporter une solution à la préoccupation de Sékou, nous allons utiliser des notions
d’homothétie.
Pour cela, je vais :
– Déterminer la longueur du plus grand segment de la figure ;
– Déterminer le rapport de l’homothétie que je vais utiliser ;
– Déterminer la longueur des côtés des deux triangles équilatéraux ;
– Construire la figure sur la feuille.
• Déterminons la longueur du plus grand segment de la figure
le segment [FC] est le plus grand segment de la figure
Considérons le cercle circonscrit aux deux triangles. Soit O son centre.


• Déterminons le rapport de l’homothétie que je vais utiliser
Pour avoir la plus grande reproduction possible, le plus grand segment [FC] doit est de
4 cm de longueur, ainsi le rapport de l’homothétie à utiliser est : r = 4/4√3 = √3/3
• Déterminons la longueur des côtés des deux triangles équilatéraux
La longueur des côtés des deux triangles équilatéraux sur la feuille carrée est :
√3/3 × 6 = 2√3
• Construisons la figure sur la feuille
Programme de construction :
– On construit l’axe de symétrie (FC) du carré.
– On place O le milieu de [FC]
– On construit le cercle (C) de diamètre [FC]
– Le cercle (C’) de centre F et de rayon 2√3 coupe (C) en E et G.On obtient le triangle
équilatéral FEG.
– On construit l’image du triangle FEG par l’homothétie de centre O et de rapport -1.

D- EXERCICES
Exercices de fixation
Exercice 1
Sur la figure ci-contre, le quadrilatère APEC est l’image du quadrilatère RHMO par une homothétie de rapport 2/3.

1- Complète le tableau ci-dessous

Solution
1.
![]()
![]()
EXERCICE 2
Détermine dans chaque cas, le rapport de l’homothétie h de centre A qui transforme B en C :

EXERCICE 3
ABC est un triangle équilatéral de côté 4 cm et G le centre de gravité du triangle ABC.
1- Fais une figure.
2- Construis l’image A’ B’ C’par l’homothétie de centre G et de rapport 3 du triangle ABC.
Solution

Exercices de renforcement et d’approfondissement
EXERCICE 4

Réponse
h(B)=M et h(C)=N donc h([BC])=[MN].Or I est le milieu de [BC] et J le milieu de [MN] donc h (I)= J car l’homothétie conserve le milieu d’un segment.
Par conséquent A, I et J sont alignés.
EXERCICE 5
On considère un cercle (C) et A un point de (C).
M est un point quelconque de (C).
Détermine l’ensemble des points M’, milieu du segment [AM] lorsque M décrit le cercle (C).
Réponse
On a AM′→ = 1/2AM→ .
Soit l’homothétie h de centre A et de rapport 1/2.
h(M)=M’ donc M’ décrit le cercle (C’) image de (C) par h.
EXERCICE 6
On donne la figure ci-dessous.
On désigne par h l’homothétie de centre O qui transforme A en A’.
Construis l’image de la droite (D) par h.

Réponse :

Programme de construction
– On place un point R sur (D).
– On trace la droite (RO).
– On trace la droite parallèle à (RA) et passant par A’.
– L’image R’ de R par h est l’intersection des deux droites.
– De même on place un autre point U sur (D) et on construit son image U’ par h.
– L’image de (D) est la droite (D’) passant par R’ et U’.
You must be logged in to take the quiz.

