A-SITUATION D’APPRENTISSAGE
Une Petite et Moyenne Entreprise (PME) emploie 6 personnes. Le Directeur est payé à
200 000 F CFA, le comptable à 150 000 F CFA et les 4 autres employés à 70.000 CFA
chacun. Vu l’accroissement des activités de la PME, le propriétaire décide d’embaucher
de nouveaux employés qu’il veut aussi payer à 70 000F chacun. La condition fixée par les bailleurs de fonds est que le salaire moyen de tous ceux qui travaillent doit être supérieur à 80 000 F CFA. Le propriétaire veut savoir le nombre de personnes qu’il peut embaucher sans changer les salaires. Il en parle à son fils qui est en classe de première scientifique. Ce dernier, soucieux d’aider son père, pose le problème à son professeur de
mathématiques qui affirme qu’il est possible de résoudre ce problème.
B- CONTENU DE LA COURS
I- Applications
1. Définition
Une application, d’un ensemble E dans un ensemble F (ou de E vers F) est une correspondance, qui à tout élément x de E associe un élément y de l’ensemble F.
y est appelé l’image de x par ƒ et se note : ƒ(x) ; x est un antécédent de y par ƒ ; E est l’ensemble de départ, et F est l’ensemble d’arrivée.
Exemple :

f est une application.
2 Applications injectives
Définition
Une application ƒ, d’un ensemble E dans un ensemble F est une injection ou une application injective lorsque tout élément de F admet au plus un antécédent par ƒ dans E.
Exemple et contre-exemple
On donne les applications ƒ et g de E vers F

L’application f est injective, par contre l’application g n’est pas injective.
Point méthode
Pour démontrer qu’une application f, d’un ensemble E dans un ensemble F est
injective, il suffit de justifier que pour tout b ∈ F ,
l’équation : x E, f(x) = b admet au plus une solution,
(c’est-à-dire soit 0 solution, soit une unique solution).
Exemple
L’application f de [0; +∞[ vers R définie par : f(x) = √x+1 est injective car :
Soit y un nombre réel,
f(x) = y ⇔ √x+1 = y
⇔ √x = y-1
Si y≥1 alors x=(y − 1)²
Pour tout nombre réel y, l’équation f(x) = y, admet au plus une unique solution.
Propriété
Une application ƒ d’un ensemble E dans un ensemble F est une injection si et
seulement si pour tous a et b éléments de E, ƒ(a) = ƒ(b) ⟹ a = b
Exercice de fixation
On considère l’application f de R\{1} vers R définie par : ![]()
Justifie que l’application f est injective.
Solution
Soit a et b deux éléments de R \{1}

3. Applications surjectives
Définition
Une application ƒ, d’un ensemble E dans un ensemble F est une surjection ou une
application surjective lorsque tout élément de F admet au moins un antécédent par
ƒ dans E.
Exemple et contre-exemple
Soit les applications ƒ de E vers F et g de A vers B

L’application g est surjective et l’application ƒ n’est pas surjective.
Point méthode
Pour démontrer qu’une application ƒ, d’un ensemble E dans un ensemble F est
surjective, il suffit de justifier que pour tout b ∈ F ,
l’équation : x ∈ E, ƒ(x) = b admet au moins une solution dans E,
(c’est-à-dire soit une unique solution, soit plusieurs solutions).
Exercice de fixation
On considère l’application f de R vers [1; +∞[ définie par : f(x) = x²+1.
Justifie que l’application f est surjective
Solution
Df = IR
Soit y un élément de [1; +∞[ ,
f(x) = y ⇔ x² + 1 = y ⇔ x² = y−1
Or y−1≥ 0 donc x=√y − 1 ou x=−√y − 1 .
Tout nombre réel y, l’équation f(x) = y, admet au moins unique solution.
D’où, l’application f est surjective.
4. Applications bijectives
a) Définition
Une application ƒ, d’un ensemble E dans un ensemble F est une bijection ou une application bijective lorsque tout élément de F admet un unique antécédent par ƒ dans E.
Exemple
Soit f l’application de IR vers IR définie par : f(x) = x+1.
L’application f est bijective.
Point méthode
• Pour démontrer qu’une application ƒ, d’un ensemble E dans un ensemble F
est bijective, il suffit de justifier que pour tout b ∈ F , l’équation : x ∈ E, ƒ(x) = b admet une unique solution dans E.
• Soit ƒ une application d’un intervalle K dans un intervalle L et (Cƒ) sa représentation graphique dans le plan rapporté à un repère (O, I, J).
Pour vérifier graphiquement que ƒ est une bijection, il suffit de vérifier que toute droite d’équation : y = b coupe (Cf) en un unique point dont l’abscisse x0 appartient à K où b ∈ ƒ(K).

b) Propriété
Une application ƒ d’un ensemble E dans un ensemble F est une bijection si et seulement si elle est à la fois injective et surjective.
Exercice de fixation
On considère l’application f de ]-∞ ; 0] vers [0 ; +∞[ définie par : f(x) = x2.
Justifie que l’application f est bijective.
Solution
Df = ]-∞ ; 0]
Soit y un nombre réel de [0 ; +∞[
f(x) = y ⇒ x² = y
⇒ x = -√y ou x = √y
x = -√y car x ∊ ]-∞ ; 0]
Tout élément y de [0 ; +∞[ admet un unique antécédent. Par conséquent, f est injective et surjective.
D’où, f est bijective.
5. Bijection réciproque d’une bijection
Définition
Soit ƒ une bijection de E dans F. On appelle bijection réciproque de ƒ,
l’application de F dans E, notée ƒ−1qui, à tout élément de F associe son unique antécédent par ƒ dans E.
Exemple
On considère l’application f de ]-∞ ; 0] vers [0 ; +∞[ définie par : f(x) = x². f est bijective, alors sa bijection réciproque est tel que :
f−1:[0; +∞[→] − ∞; 0] et f−1(x) = −√x
Remarque
Si ƒ est une bijection et ƒ−1 sa bijection réciproque alors ƒ est la bijection réciproque de ƒ−1.
Propriété
Dans le plan muni d’un repère orthonormé, les représentations graphiques d’une bijection et de sa bijection réciproque sont symétriques par rapport à la droite d’équation : y = x.(la première bissectrice).

Exercice de fixation
Soit l’application bijective ƒ: R+ → R+
x ⟼ √x .
Représenter dans un même repère la courbe représentative de la fonction ƒ et celle de sa
bijection réciproque ƒ−1.
Proposition de réponse
Soit b ∈ R + tel que f(x) = b
√x = b alors x = b².On a donc :

II – Compléments sur les Fonctions
1. Restriction d’une fonction
Définition
Soit ƒ une fonction d’un ensemble E vers l’ensemble F et A une partie non vide
de l’ensemble de définition de ƒ. On appelle restriction de ƒ à A l’application
g : A ⟶ F
x ↦ f(x)
Exemple :

2. Opérations sur les fonctions numériques
Définition
Soit ƒ et g deux fonctions de R vers R.
On note D l’ensemble des nombres réels x pour lesquels g(x) ≠ 0,Df et Dg les ensembles de définition respectifs de ƒ et g. On a :

3. Comparaison de deux fonctions
Définitions et notations
Soit I un intervalle de R, ƒ et g deux fonctions données sur un intervalle I.
• ƒ est inférieure ou égale à g sur I, lorsque pour tout élément x de I,
ƒ(x) ≤ g(x).
On note : ƒ ≤ g sur I.
• f est supérieure ou égale à g sur I, lorsque pour tout élément x de I,
ƒ(x) ≥ g(x).
On note : ƒ ≥ g sur I.
Point méthode
• Pour comparer deux fonctions ƒ et g données par leurs formules explicites sur un intervalle I, on peut :
– calculer, pour tout x ∈ I, ƒ(x) − g(x) ;
– étudier le signe de ƒ(x) − g (x) sur I :
➢ Si ƒ(x) − g(x) ≤ 0 alors ƒ ≤ g sur I;
➢ Si ƒ(x) − g(x) ≥ 0 alors ƒ ≥ g sur I.
• Pour comparer deux fonctions ƒ et g dont on connaît les représentations
graphiques respectives (Cf) et (Cg ) sur un intervalle I dans le plan muni
d’un repère (O, I, J), on peut procéder comme suit :
➢ si (Cf) est au-dessous de (Cg) sur I, alors ƒ ≤ g sur I ;
➢ si (Cf) est au-dessus de (Cg) sur I, alors ƒ ≥ g sur I.
Exercice de fixation
Justifie que :
x ∊ IR, x² + 1 ≥ 2x.
Solution
Pour tout nombre réel x,

4. Composition de fonctions
• Soient E, F et G trois parties de R, ƒ une fonction de E vers F et g une fonction F vers G. On appelle composée de ƒ par g la fonction de E vers G notée goƒ et définie par : goƒ(x) = g[ƒ(x)].
• Df, Dg et Dgof sont les ensembles de définition respectifs de ƒ, g et goƒ.
x ∈ Dgoƒ ⟺ x ∈ Df et ƒ(x) ∈ Dg.
Exercice de fixation
Soit f et g les fonctions de R vers R définies par : ![]()
a) Détermine l’ensemble de définition E de gof.
b) Pour tout x élément de E, explicite gof(x).
Proposition de réponse
Soit f et g les fonctions de R vers R définies par : ![]()
a) Df = R * et Dg = R \{1}

Exercice de fixation
On considère la bijection ƒ: R+ → R+ et sa bijection réciproque : ƒ −1: R+ → R+
x ↦ √x x ↦ x²
Détermine ƒoƒ−1 et ƒ−1oƒ
Proposition de réponse
ƒoƒ−1(x) = ƒ(ƒ−1(x)) = √x² = x et ƒ−1oƒ(x) = (ƒ−1(ƒ(x)) = (√x)² = x
5. Représentations graphiques de fonctions associées
Propriétés
Le plan est muni d’un repère orthogonal (O, I, J). ƒ est une fonction de R vers R.
a et b sont deux nombres réels.
On note (Cf) la représentation graphique de la fonction ƒ dans le repère (O,I,J).

Exercice de fixation
Le plan est muni d’un repère orthonormé d’unité graphique le centimètre.
On donne la courbe représentative (C) d’une fonction numérique définie sur [1 ; 4].

On considère la fonction numérique g définie par : g(x) = f(x-3)+1.
On note (C’) la courbe représentative de g dans le plan.
Construis (C’) à partir de (C).
Solution
(C’) est l’image de (C) dans la translation t de vecteur u→ (3 ; 1).
t(A) = A’, t(B) = B’ et t(C) = C’

C- SITUATION D’EVALUATION
Un monsieur cède une parcelle de terrain cultivable à ses deux enfants avec les mêmes
conditions d’accessibilité et de superficie. Un grand lac traverse la parcelle. Un pont[AB]et une piste (AB) permettent de traverser aisément la parcelle. Les contours du lac s’apparent à la courbe de la fonction inverse et la piste s’identifie à la première bissectrice dans un repère orthonormé naturel comme l’indique la figure ci-contre. Les deux parts sont séparées par la piste. Le plus jeune pense qu’il est lésé et menace de ne
plus s’adresser à son père. Ayant assisté à cette scène, élève de 1ère C et amis du jeune fils, rassure le en utilisant tes connaissances mathématiques.

Proposition de solution
Pour rassurer le jeune fils, nous allons utiliser la leçon généralités sur les fonctions.
Nous utiliserons les notions de :
– de restriction ;
– d’application ;
– composée de fonctions ;
– bijection et sa réciproque
– de représentation de la bijection réciproque.
Les contours du lac s’apparent à la courbe de la fonction inverse. Soit la fonction ƒ définie de R vers R
par (x) = 1/x. Son ensemble de définition est Df = R ∖ {0}. On considère la restriction g de ƒ définie de R ∖ {0} dans R ∖ {0}. On a Dg = R ∖ {0} donc g est une application.
Composons g par g.
![]()
sa bijection réciproque est g.
Symétrie de (Cg)
g−1 = g donc (Cg−1) = ( Cg) et (AB) est la première bissectrice de repère orthonormé dans lequel est représenté ( Cg) . Donc s(AB)( Cg) = ( Cg).
La parcelle cultivable cédée par le père présente une parfaite symétrie par rapport à la piste (AB).
En conséquence les parts situées des deux côtés de la piste ont la même aire.
D-EXERCICES
Exercice 1
On considère l’application f de ]-∞ ; 1] vers [-4 ; +∞[ définie par : f(x) = x² – 2x – 3.
a) Justifie que f est une bijection.
b) Explicite la bijection réciproque f -1 de f.
Correction de l’exercice 1
On considère l’application f de ]-∞ ; 1] vers [-4 ; +∞[ définie par : f(x) = x² – 2x – 3.
a) Soit y un élément de [-4 ; +∞[ et x un élément de ]-∞ ; 1].

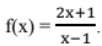
Exercice 2
On considère l’application f de IR\{-2} vers IR définie par : ![]()
a) L’application f est-elle injective ? (Justifie ta réponse).
b) L’application f est-elle surjective ? (Justifie ta réponse).
c) Justifie que f n’est pas bijective.
Correction de l’exercice 2
On considère l’application f de IR\{-2} vers IR définie par : ![]()
a) Soit y un élément de IR,

5 n’a pas d’antécédent.
Et, tout nombre réel distinct de 5 a un unique antécédent.
D’où, f est injective.
b) 5 n’a pas d’antécédent.
D’où, f n’est pas surjective.
f n’est pas surjective.
Donc, f n’est pas bijective.
Exercice 3
Soit ƒ l’application de IR vers ]−∞; 1] définie par : f(x) = 1 − x².
Démontre que ƒ est surjective.
Correction de l’exercice 3
Soit b ∈] − ∞; 1] tel que f(x) = b ⟹ 1 − x² = b alors x = √1 − b ou x = −√1 − b par conséquent ƒ est une application surjective.
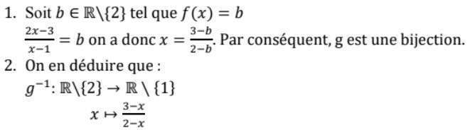
Exercice 4
![]()
1. Démontre que g est une bijection.
2. Détermine g−1.
Correction de l’exercice 4

Exercice 5
Soit la fonction h définie sur R par :h(x) = 3 − |2 − x|.
Détermine la restriction fde h à l’intervalle ]−∞; 2].
Correction de l’exercice 5

Alors la restriction de h à l’intervalle ]−∞; 2] est ƒ(x) = x + 1.
Exercice 6
On considère les fonctions f et g de R vers R définies par :
ƒ(x) = x² et g(x) = x² − 4x + 8.
1. Démontre que, pour tout nombre réel x, g(x) = ƒ(x − 2) + 4.
2. On désigne par (Cf) et (Cg) les représentations graphiques de f et g dans le plan muni d’un repère orthonormé.
a) Détermine la transformation du plan t telle que (Cf) = (Cg).
b) Construis (Cf) et (Cg) dans le même repère.
Correction de l’exercice 6
1. f(x − 2) + 4 = (x − 2)² + 4 = x² − 4x + 4 + 4 = x² − 4x + 8
2. a) On a g(x) = ƒ(x − 2) + 4 alors (Cg) est l’image de (Cf) par la translation t de
vecteur directeur 2OI→ + 4OJ→ .
b)

Exercice 7
Soit ƒ la fonction de R vers R définie par : ƒ(x) =2−x² + 2x.
1. Justifie que pour tout nombre réel x, ƒ(x) = 3 − (x − 1)².
2. Justifie que pour tout nombre réel x, f(x) ≤ 3.
Correction de l’exercice 7
1. f(x) = −x² + 2x + 2
=−(x² − 2x − 2)
=−(x² − 2x + 1 − 1 − 2)
=−(x² − 2x + 1 − 3)
=−[(x − 1)² − 3]
= 3 − (x − 1)²
2. f(x) − 3 = 3 − (x − 1)² − 3 = −(x − 1)²
Pour tout nombre réel x, (x − 1)² ≥ 0 donc − (x − 1)² ≤ 0 alors f(x) − 3 ≤ 3 ⇒ f(x) ≤ 3.
Exercice 8
ƒ et g sont deux fonctions de IR vers IR définies respectivement par :
![]()
1) Détermine l’ensemble de définition de chacune des fonctions suivantes :

Exercice 9
ƒ et g sont deux fonctions de R vers R définies respectivement par :
ƒ(x) = x² + x − 2 et g(x) = √x.
a) Détermine Df; Dfog et Dgof′
.
b) Détermine ƒog(x) et go ƒ(x).
Exercice 10
Soit f la fonction de IR∗ vers IR définie par : f(x) = x².
Démontre que ƒ est injective.
Exercice 11
La courbe (C f) ci-contre est la représentation graphique d’une application bijective ƒ dans un repère orthonormé.
Construis (Cf−1), la représentation graphique de f−1 dans le même repère.

You must be logged in to take the quiz.
