A- SITUATION D’APPRENTISSAGE
Pendant une séance de cours en informatique qu’organise le club scientifique, les élèves d’une classe de première D apprennent à tracer des
courbes à l’aide de l’ordinateur de leur salle multimédias.
Ainsi pour la fonction f définie par : ![]()
Ils observent sur l’écran de leur ordinateur une figure morcelée en deux parties au point
d’abscisse 1 (voir figure). Cherchant à expliquer cette particularité de la courbe, un
professeur de mathématiques encadreur du club scientifique les renvoie aux notions de continuité d’une fonction.
Désireux de comprendre le comportement de la courbe de la fonction f en 1, les élèves décident d’approfondir les connaissances sur les fonctions.

B–RESUME DE COURS
I. LIMITES
1- Notion de limites
Soit f la fonction définie sur R par : ƒ(x) = x2.
On constate par le calcul que lorsque l’on choisit « x suffisamment proche de 2 », on obtient « ƒ(x) suffisamment proche de 4 ».
On dit alors que : ƒ(x) tend vers 4 , lorsque x tend vers 2 ou bien : la limite, lorsque x tend vers 2, de f(x) égale 4.
On dit aussi que : 4 est la limite de f en 2.
On note : ![]()
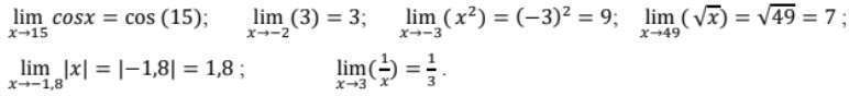
Exercice de fixation
Soit f la fonction définie sur R par f(x) = 2x − 1
A chaque affirmation réponds par Vrai si elle est correcte et par Faux si elle est incorrecte
![]()
Corrigé
1) Faux 2) Faux 3) Vrai
2- Notion de continuité
Propriété
Soit f une fonction définie en a.
Si f admet une limite en a alors ![]()
Exercice de fixation
Soit f la fonction définie sur R∗ par ![]()
A chaque affirmation réponds par Vrai si elle est correcte et par Faux si elle est incorrecte.
![]()
2)La fonction f admet une limite en −2
3) La fonction f admet une limite en 0
Corrigé
1) Faux 2) Vrai 3) Faux
Définition
Soit ƒ une fonction et a un élément de l’ensemble de définition de ƒ
On dit que la fonction ƒ est continue en a lorsque f admet une limite en a.
(c’est – à – dire : f est continue en a signifie que ![]()
Exemple :

Remarque
• On démontre et on admet que : lorsqu’une fonction admet une limite en a, cette limite est unique.
• Pour qu’une fonction ƒ soit continue en a, il est nécessaire qu’elle soit définie en a.
Illustration graphique de la continuité d’une fonction en un point
Dans chacun des cas de figures ci – dessous, (Cƒ) est la représentation graphique d’une fonction ƒ.

Dans chacun de ces trois cas, la fonction f est continue en a.
Exercice de fixation
Sur chacune des figures ci – dessous, la courbe donnée est la représentation graphique d’une fonction ƒ et a désigne un nombre réel. Indique dans quels cas la fonction ƒ est continue en a.


Corrigé
Les figures qui présentent une courbe de fonction continue en a sont Figure 3 et Figure 5
3- Continuité en a de fonctions élémentaires
a) Propriété 1

Exercice de fixation
Complète les égalités suivantes :
![]()
Corrigé
Comme les fonctions élémentaires sont continues en tout élément de leur ensemble de définition alors :

b) Propriété 2
ƒ et g étant deux fonctions continues en a :
– Les fonctions ƒ + g, ƒg, kƒ (k ∈ R) et |ƒ| sont continues en a.
– Si g ne s’annule pas en a alors les fonctions 1/g et f/g sont continues en a.
– Si f est positive alors la fonction √f est continue en a.
Exercice de fixation
Soit f et g deux fonctions continues en 5
Justifie que chacune des fonctions ƒ²; f − g et 4ƒ est continue en 5.
Corrigé
• ƒ est continue en 5 donc la fonction ƒ × ƒ = f2 est continue en 5.
• g est continue en 5 donc −g est continue en 5.
ƒ et −g sont continues en 5 donc ƒ + (−g) = ƒ − g est continue en 5
• ƒ étant continue en 5 alors 4ƒ est aussi continue en 5
Remarque
Toute fonction qui est somme, produit ou quotient de fonctions élémentaires, est continue en tout élément de son ensemble de définition.
II. LIMITE A GAUCHE – LIMITE A DROITE
1) Présentation
Sur la figure ci – dessous, le plan est muni d’un repère orthogonal (O, I, J), (Cƒ) est la représentation graphique d’une fonction ƒ et a est un nombre réel.



Corrigé
1) FAUX 2) FAUX 3) VRAI 4) FAUX
2) Propriétés
a et l sont des nombres réels, ƒ est une fonction définie sur un intervalle ouvert centré en a sauf éventuellement en a.
• ƒ n’est pas définie en a.
La fonction f admet une limite l en a si et seulement si ƒ admet en a, une limite à gauche et une limite à droite égales à l.

III- CALCUL DE LIMITES
1- Opérations sur les limites
Propriétés
a, l et l′ désignent des nombres réels.

Remarque
• La somme de deux fonctions continues en a est une fonction continue en a.
• Le produit de deux fonctions continues en a est une fonction continue en a.
• Le quotient d’une fonction f continue en a par une fonction g continue en a telle que g(a) soit différent de zéro, est une fonction continue en a.
C- – SITUATION COMPLEXE
Deux frères, élèves d’une classe de 1èreC, souhaitent communiquer avec leur oncle résidant à Paris en France.
Ils se rendent dans une cabine téléphonique et le gérant de la cabine leur propose le
contrat suivant :
• 150F CFA la minute de 0 à 5 minutes de communication,
• 750F CFA forfaitaire entre 5 minutes et 10 minutes de communication,
• 100F CFA la minute, de 10minutes à 30 minutes de communication,
• Au – delà de 30 minutes, 3000F CFA de forfait plus 50F CFA pour chaque minute de communication supplémentaire.
Dans leurs échanges l’ainé affirme que le contrat proposé par le gérant de la cabine traduit une fonction continue en 5 et discontinue en 30 mais son petit frère soutient que cette fonction est continue en 5 et en 30. Ils ont présenté cette situation à leurs camarades de classe qui n’ont pu départager. En tant qu’élève de 1èreC, ils te sollicitent. A l’aide d’une production argumentée, en utilisant tes connaissances mathématiques, indique lequel des deux frères a raison.
Corrigé
Pour départager les deux frères nous allons utiliser la leçon limite et continuité pour
cela nous allons :
– Déterminer la fonction ƒ qui a chaque minute de communication associe son coût
– Etudier la continuité de ƒ en 5 et en 30
– départager les deux frères
Soit x la durée en minutes de communication et ƒ la fonction qui à x associe le coût de la communication en franc CFA. On a :

(1) et (2) impliquent que f est continue en 5 et en 30 donc le petit frère a raison.
D- EXERCICES
Exercices de fixation
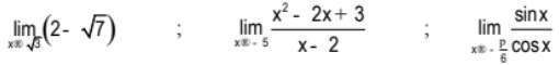
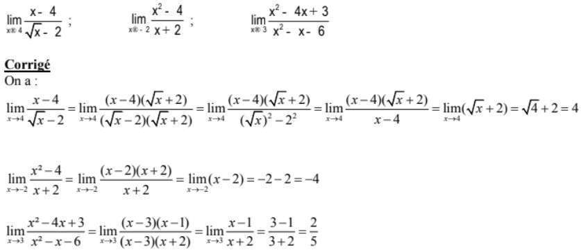
Exercice 1
Calcule les limites suivantes :


Exercices de renforcement
Exercice 3 :

Exercice 4
(Cf) est la représentation graphique d’une fonction f dans le plan muni d’un repère orthogonal.

A l’aide de ce graphique:
a) donne la limite de f en a, en b et en c.
b) dis si f est continue en a, en b et en c.
Corrigé
a) La limite de f en a est l1 ; la limite de f en b est l4 et la limite de f en c est l5.
b) f est continue en a et en c. f n’est pas continue en b car f n’est pas définie en b.
Exercices d’approfondissement
Exercice 5
Calcule chacune des limites suivantes.

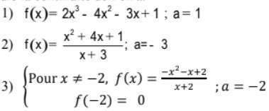
Exercice 6
Dans chacun des cas suivants f est une fonction de IR vers IR.
Etudie la continuité de f en a.

Corrigé
1) f est une fonction polynôme donc f est continue sur IR en particulier f est continue en 1
2) L’ensemble de définition de f est IR \{-3} donc f ne peut être continue en −3
3) f est définie sur IR.

You must be logged in to take the quiz.
