A-SITUATION D’APPRENTISSAGE
Dans la perspective d’aborder le prochain cours dans ta classe de 1ère C, ton professeur de mathématiques présente la courbe suivante qui décrit dans un repère orthonormé, la trajectoire de deux projectiles à l’aide de l’équation horaire suivante :
y(t) = 2/ 2−t, t ∈ [0; +∞[ où pour le premier projectile,
t ∈ [0; 2[ et pour le deuxième,
t ∈ ]2; +∞[.
Tes amis et toi constatez que sur ]2; +∞[ lorsque t tend vers +∞, la trajectoire du projectile se rapproche de la droite d’équation y = 0 comme l’indique le graphique ci-contre. Dans le but d’expliquer ce résultat le professeur.

vous organise en groupe afin de traduire ce résultat en limite de la fonction.
B– RESUME DE COURS
I. LIMITE INFINIE D’UNE FONCTION EN UN POINT
1) Limite infinie d’une fonction en a (a est un nombre réel)
Propriété
Soit a un nombre réel.
Pour tout nombre entier naturel non nul n, on a :

2) Asymptote verticale
Définition
Le plan est muni d’un repère orthogonal.
a est un nombre réel et ƒ est une fonction de représentation graphique (Cƒ)
est infinie, on dit que la droite d’équation : x = a est une asymptote verticale à la courbe (Cf).


II – LIMITE A L’INFINI D’UNE FONCTION
1) Limite à l’infini des fonctions élémentaires
Propriétés
On a :

Exercice de fixation
Complète les égalités suivantes:

2) Asymptote horizontale
Définition
Soit ƒ une fonction numérique et (Cf) sa courbe représentative dans le plan muni d’un repère orthogonal.

Exemple :

III – Opérations sur les limites
1) Limite de la somme de deux fonctions
Propriétés
l et l′ sont deux nombres réels et a ∈ R ∪ {+∞; −∞}
On admet:

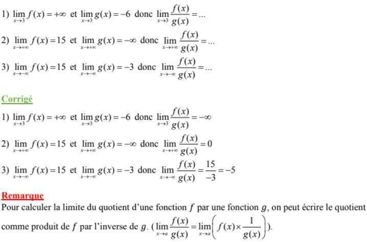
Exercice de fixation
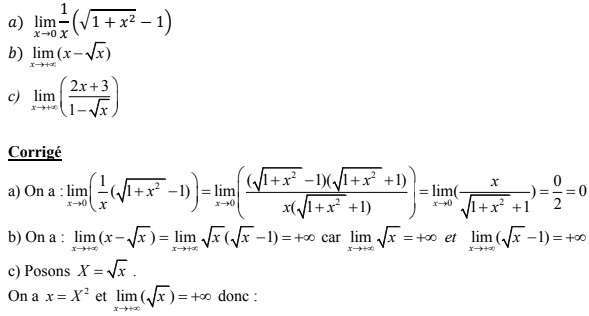
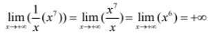
Calcule les limites suivantes

Corrigé

b) Limite du produit de deux fonctions
Propriétés
l et l′ sont deux nombres réels et a ∈ R ∪ {+∞; −∞}
On admet:


Exercice de fixation
Calcule les limites suivantes :

![]()
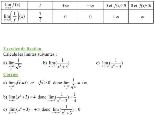
3) Limite de l’inverse d’une fonction
Propriétés
l désigne un nombre réel non nul et a ∈ R ∪ {+∞; −∞}
On admet:

4) Limite du quotient de deux fonctions
Propriétés
l et l′ sont deux nombres réels et a ∈ R ∪ {+∞; −∞}
On admet :

Exercice de fixation
ƒ et g sont deux fonctions. Complète les égalités suivantes :

5) Limite en l’infini des fonctions polynômes
Propriété
La limite en l’infini d’une fonction polynôme ƒ est la limite en l’infini de la fonction monôme définie par le terme de plus haut degré de ƒ(x).

6) Limite en l’infini des fonctions rationnelles
Propriété
La limite en l’infini d’une fonction rationnelle p/q est la limite en l’infini de la fonction rationnelle définie par le quotient des monômes de plus hauts degrés de p(x) et de q(x).

7) Propriétés de comparaison
Propriété 1
Soit f une fonction et a ∈ R ∪ {+∞; −∞}

C-Situation complexe
Lors d’une recherche pour le cours de géographie, les élèves d’une classe de première scientifique d’un lycée découvrent une ville d’Afrique créée en 1960. La population de cette ville évolue selon une fonction croissante f telle que :
où x est le nombre d’années écoulées depuis la fin de l’année 1960 et ƒ(x) est exprimée en dizaines de milliers d’habitants.
Un élève de la classe affirme que la population de cette ville ne pourra jamais dépasser 600000 habitants mais certains élèves de la classe pensent le contraire. Une discussion s’engage entre eux.
En tant que major de ta classe en mathématiques, utilise tes connaissances mathématiques pour les départager.
Corrigé
Pour départager ces élèves nous allons utiliser :
– la notion d’extension de limite
– Calculer la limite de la fonction quand x tend vers +∞
– Et comparer a 60000
Comme la fonction définissant l’évolution de la population est croissante alors lorsque x devient de plus en plus grand, la population de cette ville est aussi de plus en plus élevée. Ainsi
déterminera la population limite.
![]()
La population limite est : 60 × 10000 = 600000 habitants
L’élève qui a fait l’affirmation a raison.
D– EXERCICES
Exercices de fixation
Exercice 1
Le plan est muni d’un repère orthonormé
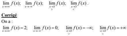
(O, I, J). f est une fonction de représentation graphique (C) et ![]()
Interprète graphiquement la limite de ∫ à gauche en 6.
Corrigé


Corrigé
1) Faux 2) Faux 3) Faux 4) Faux
Exercice 5
(Cƒ) est la courbe représentative d’une fonction ƒ dans le plan rapporté au repère (O, I, J).
(OI), (D) et (D′) sont asymptotes à (Cƒ ).
Observe attentivement la figure et donne chacune des limites suivantes :


Exercices d’approfondissement
Exercice 6
Calcule les limites suivantes :


You must be logged in to take the quiz.
