A-SITUATION D’APPRENTISSAGE
Lors de leurs recherches personnelles sur les angles, des élèves de 2nd C d’un établissement scolaire lisent l’information suivante : « pour α ∈] −π/2; 0[ si cosα = √5/3
, alors tanα =−2√5/5». Curieux, ils s’adressent à leur professeur de mathématiques. Celui-ci leur dit que pour comprendre cette phrase mathématique, ils doivent approfondir leurs connaissances sur les angles orientés et la trigonométrie. Ensemble, les élèves cette classe décident de faire des recherches sur les angles orientés et la trigonométrie afin de vérifier cette affirmation.
B-CONTENU DE LA LEÇON
1. LE RADIAN
1.1 Mesure d’un angle en radian
a. Définition :
La mesure en radian d’un angle AOB ̂ est égale à la longueur de l’arc intercepté par cet angle sur le cercle de centre O et de rayon 1. On la note mes AOB ̂.
Exemple : La mesure en radians de l’angle nul est 0.
La mesure en radians de l’angle plat est π.
b. Correspondance entre le radian et le degré :
Soit x la mesure en degrés d’un angle et y sa mesure en radians. On a:
y = x π/180° et x = 180° y/π.
Tableau de correspondance (exemple)

Exercice de fixation
a/ convertis la valeur en radian de 45°.
b/ convertis la valeur en degré de 2π/3 rad.
Solution :

c. Longueur d’un arc de cercle
Définition :
(C) est un cercle de centre O et de rayon R, A et B deux points de (C) . L’angle au centre AOB ̂ intercepte l’arc AB̂ .
Si la mesure en radian de l’angle AOB ̂ est α ( α en radian), alors longueur AB̂ = R × α.

Exemple
Si α =2π/3 rad et R = 2(cm) alors longueur AB̂ = 2× 2π/3 = 4π/3cm
2. ANGLE ORIENTE DE DEUX VECTEUR
2. 1 : Orientation du plan
Sur un cercle il y a deux sens de parcours. Orienter un cercle c’est choisir un sens de parcours sur ce cercle : Ce sens est appelé sens direct (ou positif ou trigonométrique) Le sens contraire est le sens indirect (ou rétrograde ou négatif).
En général on choisit comme sens direct le sens contraire des aiguilles d’une montre.

2 .2 Angle orienté de deux vecteurs non nuls
a. Définition
Soit (C) un cercle de centre O et (u→ , v→ ) un couple de vecteurs non nuls, X et Y les points tels que OX→ =u→ , et OY→ = v →. Soit M et N les points d’intersection respectifs des demi-droites [OX) et [OY).
L’ensemble des couples (u→ , v→ ) de deux vecteurs non colinéaires pour lesquels l’arc MN̂ garde la même longueur et est parcouru dans le même sens de M vers N est appelé angle orienté et noté (u→ , v→ ).

b.Propriétés :

Exercice d’application
On donne ABCD un carré direct.
a) donne deux angles orientés nuls de vecteurs.
b) donne un angle orienté droit direct et un angle orienté droit indirect
c) donne deux angles orientés qui sont ni nuls ni droits
d) donne deux angles orientés plats
Solutions :

![]()
2.3 Mesure principale d’un angle orienté
Définition :

Exercice de fixation :

3- TRIGONOMETRIE
Dans toute cette partie, sauf mention contraire, le plan est muni d’un repère orthonormé direct (O, I, J).
3.1 Le cercle trigonométrique
Définition
On appelle cercle trigonométrique le cercle de centre O et de rayon 1.

3.2 Point image d’un nombre réel sur le cercle trigonométrique
Définition :

3.3 Cosinus, Sinus et tangente d’un angle orienté
a. Définition :

Exercice de fixation
Le plan est muni d’un repère orthonormé direct (O, I, J). M le point image de π/3
sur le cercle trigonométrique.
Détermine les coordonnées de M dans le repère (O, I, J).
Solution
M est le point image de π/3 sur le cercle trigonométrique, alors M (cosπ/3; sinπ/3).
Comme cos π/3=1/2 et sin π/3= √3/2 , donc M (1/2;√3/2)
b. Propriétés
– Pour tout nombre réel α de l’intervalle ]-π ; π], on a :
−1 ≤ cosα ≤ 1;
−1 ≤ sinα ≤ 1;
cos2α + sin2α = 1 ;
cos(−α) = cosα
sin(−α) = −sinα.
– Pour tout nombre réel α de l’intervalle]-π ; π] tel que α ≠ −π/2 et α ≠ π/2, on a :
tanα =sinα/cosα et 1 + tan²α =1/cos²α
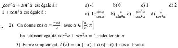
Exercice de fixation
α est un nombre réel de l’intervalle ]-π ; π] tel que α ≠ − π/2 et α ≠ π/2.
1) Dans chacun des cas ci-dessous, choisis la bonne réponse :

Solution
1) c) ; d)
2) En utilisant cos²α + sin²α = 1
sin²α = 1 − cos²α
sinα = √1 − cos²α ou sinα = −√1 − cos²α

C-Situation complexe
Ton oncle ; fonctionnaire et agent d’une administration est candidat à un concours professionnel.
Dans sa préparation au concours une question dans le sujet de la session précédente retient son attention. Cette question est la suivante :

Je calcule ensuite tanα sans radical au dénominateur.

C – EXERCICES DE RENFORCEMENT
Le plan est orienté dans le sens direct
Exercice 1
x etant la mesure principale d’un angle orienté démontre que
a)(cos x + sin x)² = 1 + 2 sin x cos x
b) (cos x)⁴ + (sin x)⁴ = 1 − 2(sin x)²( cos x)²
Solution :
a) (cos x + sin x)² = (cos x)² + (sin x)² + 2 sin x cos x
(cos x + sin x)² = 1 + 2 sin x cos x ;car (cos x)² + (sin x)² = 1
b) Montrons que :(cos x)⁴ + (sin x)⁴ = 1 − 2(sin x)²( cos x)²
On sait que :
((sin x)2 + ( COS x)²)² = (cos x)⁴ + (sin x)⁴ + 2(sin x)²( cos x)²
(1)² = (cos x)⁴ + (sin x)⁴ + 2(sin x)²( cos x)²
(cos x)⁴ + (sin x)⁴ + 2(sin x)²( cos x)2 = 1
Donc (cos x)⁴ + (sin x)⁴= 1- 2(sin x)²( cos x)²
Exercice 2
ABC est un triangle équilatérale direct D et E sont deux points tel que les triangles ADB et ACE sont rectangles respectivement en D et en E.

Solution :
![]()

Exercice 3
Dans chacun des cas suivants donne
le signe de cosα et de sinα



Exercice6
ABC est un triangle rectangle en A, direct, tel que Mes(BA→ ̂; BC→) = −π/6 et ACD est un triangle équilatéral direct.
Construis les points A, B, C et D.
Exercice 7

You must be logged in to take the quiz.
