A-SITUATION D’APPRENTISSAGE
La coopérative scolaire de ton lycée utilise un terrain rectangulaire de 8 m sur 5 m pour produire des tomates.
Pour mieux organiser l’espace disponible, le Proviseur du lycée demande que les côtés du terrain soient augmentés chacun d’une longueur identique, comme l’indique la figure ci-dessous, afin d’obtenir un terrain rectangulaire de 88 m2.
Pour respecter les exigences du Proviseur, les élèves de ta classe décident d’étudier les fonctions polynômes et les fonctions rationnelles.

B-CONTENU DU COURS
I. GENERALITES SUR LES POLYNÔMES
1- Définition d’un polynôme
Définition
• Soit a un nombre réel non nul et n un nombre entier naturel.
On appelle monôme de coefficient a et de degré n, toute expression de la forme axn, où x est une variable réelle.
• On appelle polynôme toute somme algébrique de monômes.
Exemples de polynôme
3x + 1, 4x³ − 2x + 1 et ⅓x⁴ + 2x³ + x − 1, sont des polynômes.
Contre-exemple
1/x² + 3x − 1 , n’est pas un polynôme.
2- Propriété fondamentale
Tout polynôme non nul P(x) peut s’écrire de façon unique sous la forme :
anxn + an−1xn−1 + ⋯ + a1x + a0, où n est un entier naturel et a0, a1, a2, … , an sont des nombres réels tels que an ≠ 0.
Exercice de fixation :
On considère le polynôme P(x) = 2x − x³ + 5x(x² − x) + 4x − 3 + 2x².,
Ecris P(x) sous la façon a3x³ + a2x² + a1x + a0
Solution
P(x) = 2x − x³ + 5x(x² − x) + 4x − 3 + 2x²
= 2x − x³+5x³ − 5x² + 4x − 3 + 2x²
= −x³+5x³ − 5x² + 2x² + 2x + 4x − 3
= 4x³ − 3x² + 6x − 3.
3- Degré d’un polynôme
Définition
Un polynôme écris sous la forme P(x)= anxn + an−1xn−1 + ⋯ + a1x + a0 (an ≠ 0) est dit réduit et ordonné suivant les puissances décroissantes de x.
• n est appelé degré de P. On le note : d°P.
• Pour tout nombre entier naturel k compris entre 0 et n, akxk est appelé terme de degré k.
• an, an−1, an−2, … , a0 sont appelés les coefficients de P.
Remarque
Lorsque a0 = a1 = a2 = ⋯ = an = 0, P est appelé polynôme nul.
Exemple
Soit le polynôme P défini par : P(x) = x⁵ + 2x⁴ + 3x³ − 4x² − 8x − 12
• Le monôme de plus haut degré est : x⁵
.
• Le degré du polynôme P est : 5. On note d°P = 5.
• Le terme de degré 2 est : −4x² et celui de degré 4 est : 2x
4- Egalité de deux polynômes
Propriété
Deux polynômes sont égaux si et seulement si :
– ils ont même degré ;
– les coefficients des termes de même degré sont égaux.
Exercice de fixation
Soit Q(x) = −3x⁴ + 5x³ − 4x² − 12 et R(x) = (a + 2)x⁴ + 5x³ − 4x² − bx − 12, deux polynômes.
Détermine les nombres réels a , b tels que les polynômes Q et R soient égaux.
Solution
les polynômes Q et R sont égaux si et seulement si ils ont même degré et les coefficients des termes de même degré sont égaux.
d°Q = d°R = 4.
Il faut : a + 2 = −3 et −b = 0 ; donc a = −5 et b = 0.
5- Zéro d’un polynôme.
Définition
On appelle zéro d’un polynôme P tout nombre réel ∝ tel que : P(∝) = 0.
Remarque :
Déterminer les zéros d’un polynôme P, revient à résoudre l’équation P(x) = 0.
Exemple :
• Soit le polynôme P défini par P(x) = x³ + 3x²
On a P(0) = 0³ + 3 × 0² = 0 et P(−3) = (−3)³ + 3 × (−3)² = −27 + 27 = 0 alors 0 et −3 sont des zéros de P.
• Soit le polynôme G défini par G(x) = x² − 9.
On a G(x) = 0 équivaut à x² − 9 = 0
équivaut à (x − 3)(x + 3) = 0
équivaut à x − 3 = 0 ou x + 3 = 0
équivaut à x = 3 ou x = −3
donc 3 et − 3 sont les zéros de G.
6- Somme et produit de deux polynômes
a. Somme de deux polynômes
• Définition
On appelle somme de deux polynômes P et Q le polynome noté P + Q défini par :
(P + Q)(x) = P(x) + Q(x).
• Propriété
Soit P et Q deux polynômes.
d°(P + Q) est inférieur ou égal au plus grand des nombres d°P et d°Q (égal lorsque d°P ≠ d°Q)
ON note d°(P + Q) ≤ max ( d°P; d°Q)
Exercice de fixation
On donne les polynômes P,Q et R suivants :
P(x) = −2x³ + 3x² + 7x − 3.
Q(x) = −x⁵ − 7x − 3.
R(x) = 2x³ − 3x² − 10x.
1- Calcule : P(x) + Q(x) et P(x) + R(x)
2- Déduis en d°(P + Q) et d°(P + R)
Solution
1- (P + Q)(x) = P(x) + Q(x) = −2x³ + 3x² + 7x − 3 + (−x⁵ − 7x − 3)
= −x⁵ − 2x³ + 3x² − 6
(P + R)(x) = P(x) + R(x) = −2x³ + 3x² + 7x − 3 + (2x³ − 3x² − 10x) = −3x − 3
2- d°(P + Q) = 5 et d°(P + R) = 1.
b. Produit de polynômes
• Définition
On appelle produit de deux polynômes P et Q le polynôme noté P × Q défini par :
(P × Q)(x) = P(x) × Q(x).
Remarques
– Si P(x) = −1 alors PQ = (−1)Q.
(−1)Q est noté – Q et est appelé l’opposé de Q.
– P − Q = P + (−Q)
Exemple
Soit P et Q deux polynômes tels que : P(x) = −2x³ + 3x² + 7x − 3 et Q(x) = −x⁵ − 7x − 3.
P − Q = P(x) − Q(x) = −2x³ + 3x² + 7x − 3 − (−x⁵ − 7x − 3)
= −2x³ + 3x² + 7x − 3 + x⁵ + 7x + 3
= x⁵ − 2x³ + 3x² + 14x
• Propriété
Soit P et Q deux polynômes non nuls.
d°(P. Q) = d°P. d°Q
Exercice de fixation
On donne les polynômes S et R suivants :
S(x) = −7x² + x + 5.
R(x) = −2x³ + 10x.
1- Calcule le polynôme SR
2- Déduis en d°(SR)
Solution
1- SR(x) = S(x) × R(x) = (−7x² + x + 5)( −2x³ + 10x)
= 14x⁵ − 70x³ − 2x⁴ + 10x² − 10x³ + 50x
= 14x⁵ − 2x⁴ − 80x³ + 10x² + 50x
2- d°(SR) = 5
7- Factorisation d’un polynôme
Définition
Un polynôme mis sous la forme d’un produit de polynômes de degrés supérieurs ou égaux à 1 est dit factorisé.
Produits remarquables
Pour tous nombres réels a et b, on a :
(1) (a + b)² = a² + 2ab + b²
(2) (a − b)² = a² − 2ab + b²
(3) (a − b)(a + b) = a² − b²
(4) (a + b)³ = a³ + 3a²b + 3ab² + b³
(5) (a − b)³ = a³ − 3a²b + 3ab² − b³
(6) (a − b)(a² + ab + b²) = a³ − b³
(7) (a + b)(a² − ab + b²) = a³ + b³
Exemple
En utilisant les produits remarquables, on obtient :
x³ − 8 = x³ − 2³ = (x − 2)(x² + 2x + 2²) = (x − 2)(x² + 2x + 41)
x³ + 1 = x³ + 1³ = (x + 1)(x² − x + 1²) = (x + 1)(x² − x + 1)
x³ − 6x² + 12x − 8 = x³ − 3 × x² × 2 + 3 × x × 2² − 2³
= (x − 2)³
8x³ + 12x² + 6x + 1 = (2x)³ + 3 × (2x)² × 1 + 3 × 2x × 1² + 1³
= (2x + 1)³
x³ − 8 = x³ − 2³ = (x − 2)(x² + 2x + 2²) = (x − 2)(x² + 2x + 4)
Exercice de fixation
On considère le polynôme B défini par : B(x) = x³ − 1 − (x − 1)(2x² + x − 3).
Ecris B(x) sous la forme d’un produit de polynômes de premier degré.
Solution
On a: B(x) = x³ − 1³ − (x − 1)(2x² + x − 3) = (x − 1)(x² + x + 1) − (x − 1)(2x² + x − 3).
B(x) = (x − 1)[ x² + x + 1 − (2x² + x − 3)] = (x − 1)(x² + x + 1 − 2x² − x + 3).
B(x) = (x − 1)(4 − x²) = (x − 1)(2² − x²)
Donc B(x) = (x − 1)(2 − x)(2 + x).
II. POLYNÔMES DU SECOND DEGRE
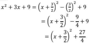
1- Forme canonique d’un polynôme du second degré
a- Forme canonique
Tout polynôme du second degré P(x) tel que P(x) = ax² + bx + c, a ≠ 0 peut se mettre sous la forme : P(x) = a[(x + α)² + β] où ∝ et β sont des nombres réels.
L’écriture a[(x + α)² + β] de P(x) est appelé forme canonique.
Cas général
a, b et c sont des nombres réels avec a ≠ 0
Exercice de fixation
Ecris chacun des polynômes ci-dessous sous la forme canonique.
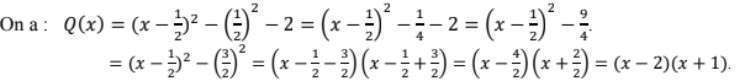
T(x) = x² + 4x − 5 K(x) = 2x² − 6x + 7 L(x) = −x² + 5x + 3
Solution

b- Factorisation d’un polynôme du second degré
Soit P(x) = a[(x + α)² + β] l’écriture de P(x) sous la forme canonique .
– Si β > 0, alors P(x) n’est pas factorisable et donc n’admet pas de zéro.
– Si β < 0, alors P(x) est factorisable et admet deux zéros.
– Si β = 0, alors P(x) admet un seul zéro. (Zéro double)
Exercice de fixation
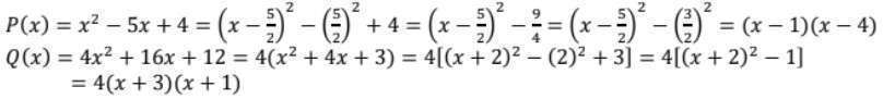
En utilisant la forme canonique, factorise chacun des polynômes P et Q tels que :
P(x) = x² − 5x + 4 et Q(x) = 4x² + 16x + 12
Solution :

2- Etude du signe d’un polynôme du second degré
. Signe de ax + b (a ≠ 0)
Pour tout nombres réels a et b tels que : a ≠ 0, on a le tableau de signe suivant :

Exercices de fixation
Etudions le signe de −2x + 2
Solution :
On a le tableau de signe suivant :

On a donc : pour tout x appartenant à ]−∞; 1[, x − 1 > 0
pour tout x appartenant à ]1; +∞[, x − 1 < 0
pour x = 1, x − 1 = 0
b. Signe de ax² + bx + c
Méthode
Soit A(x) = ax² + bx + c , a ≠ 0 pour étudier le signe de A(x) on peut utiliser sa forme canonique.
Exercices de fixation
Etudions le signe de Q(x) = x² − x − 2
Solution :

On en déduit le tableau de signe suivant :

On a donc : pour tout x appartenant à ]−∞; −1[ ∪ ]2; +∞[, Q(x) > 0
pour tout x appartenant à ]−1; 2[, Q(x) < 0
pour x appartenant {−1; 2}, Q(x) = 0
Exercice de fixation
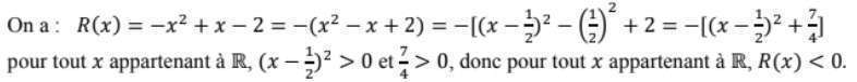
Etudions le signe de R(x) = −x² + x − 2
Solution :

Exercice de fixation
Etudions le signe de S(x) = −9x² + 6x − 1
Solution :

III. FACTORISATION PAR x − α
1- Propriété fondamental
Soit P un polynôme et ∝ un nombre réel.
∝ est un zéro de P si et seulement si il existe un polynôme Q tel que pour tout nombre réel x ,
P(x) = (x−∝)Q(x)
Remarque
• Q(x) est appelé quotient de P(x) par x−∝.
• d°Q = d°P − 1
Conséquence : un polynôme de degré n a au plus n zéros distincts.
2- Détermination pratique du quotient de P(x) par x − α
a. Méthode des coefficients indéterminés
Exercices de fixation
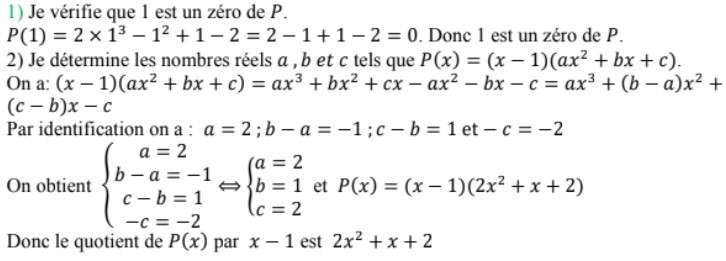
Soit P(x) = 2x³ − x² + x − 2
1) Vérifions que 1 est un zéro de P.
2) Déterminons le quotient de P(x) par x − 1, par la méthode des coefficients indéterminés.
Solution:

b. Méthode de la division euclidienne
Exercices de fixation
Soit P(x) = 2x³ − x² + x − 2
1) Vérifions que 1 est un zéro de P.
2) Déterminons le quotient de P(x) par x − 1, par la méthode de la division euclidienne.
Solution
1) Je vérifie que 1 est un zéro de P.
P(1) = 2 × 1³ − 1² + 1 − 2 = 2 − 1 + 1 − 2 = 0. Donc 1 est un zéro de P.
2) Je détermine les nombres réels a , b et c tels que P(x) = (x − 1)(ax² + bx + c).
On a :

On obtient P(x) = (x − 1)(2x² + x + 2)
Donc le quotient de P(x) par x − 1 est 2x² + x + 2
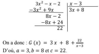
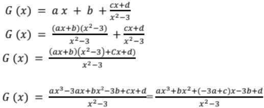
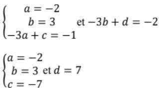
IV. FRACTIONS RATIONNELLES
Définition
On appelle fraction rationnelle, le quotient P/Q de deux polynômes non nuls P et Q.
Remarque :
La fraction rationnelle P/Q a pour ensemble de définition l’ensemble des nombres réels privé des zéros de Q.
Exemples
Solution
1) Je détermine l’ensemble de définition de f.
x ∈ Df ⇔ x² − 4x + 3 ≠ 0
⇔ (x − 2)² − 2² + 3 ≠ 0
⇔ (x − 2)² − 1 ≠ 0
⇔ (x − 2 − 1)(x − 2 + 1) ≠ 0
⇔ (x − 3)(x − 1) ≠ 0
⇔ x ≠ 3 et x ≠ 1
Donc Df = R ∖ {1; 3}.
2) a) Je vérifie que 1 est un zéro du numérateur.
On a : 2(1)³ + 2(1)² − 10(1) + 6 = 2 + 2 − 10 + 6 = 0
Donc 1 est un zéro du numérateur.
b)

Ainsi : 2x³ − x² + x − 2 = (x − 1)(2x² + 4x − 6)
On a aussi : 2x² + 4x − 6 = 2(x² + 2x − 3) = 2[(x + 1)² − 1² − 3]
= 2[(x + 1)² − 4] = 2[(x + 1)² − 2²]
= 2(x + 1 + 2)(x + 1 − 2) = 2(x + 3)(x − 1)
On obtient donc : 2x³ − x² + x − 2 = 2(x − 1)²(x + 3)

On a la division euclidienne suivante :

C- SITUATION COMPLEXE
Pour la fête de saint valentin, M. INAGO souhaite faire plaisir à sa femme en lui offrant une carte de saint valentin. Il décide donc d’imprimer sur du papier photo une carte importée sur un site internet, le papier est de forme carrée de côté x avec x compris entre 9 cm et 20 cm. Il souhaite cependant laisser une marge de 3 cm en haut et en bas du papier et une marge de 2 cm à gauche et à droite. Son fils en classe de seconde qui est à côté de lui souhaite déterminer les dimensions du papier photo afin que l’aire de la surface imprimable soit de 24 cm2. (Voir la figure ci-dessous)
A l’aide d’une production argumentée, réponds à la préoccupation du fils de INAGO.

Solution
Ce problème porte sur les polynômes
Pour déterminer les dimensions de la photo ;
Je détermine les dimensions et calculer l’aire A(x) de la partie imprimable
Je résous l’équation A(x) = 24
JE déduis les dimensions a partir des contraintes
Les dimensions de la partie imprimable en fonction de x :
la partie imprimable est un rectangle de longueur x − 4 et de largeur x − 6
son aire A(x) = (x − 6)(x − 4).
Je résous l’équation A(x) = 24
Si l’aire de la surface imprimable est 24 cm2, alors on a : (x − 6)(x − 4) = 24.
(x − 6)(x − 4) = 24 ⇔ x² − 10x + 24 = 24
⟺ x² − 10x = 0
⟺ x(x − 10) = 0
⟺ x = 0 ou x = 10
Comme x est compris entre 9 et 20, alors x = 10.
le papier photo doit être un carré de coté 10 cm pour que l’aire de la surface imprimable soit égale à 24cm2.
D-EXERCICES
Exercice 1
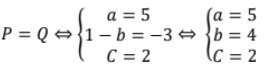
Soit a, b et c des nombres réels. Détermine a, b et c pour que les polynômes
P(x) = 5x²– 3x + 2 et Q(x) = ax² + (1 – b) x + c soient égaux.
Solution :

Exercice 2
On considère le polynôme P(x) = 2x − x³ + 5x(x² − x) + 4x − 3 + 2x².,
1-Ecis P(x) sous la façon développée, réduite et ordonnée sous la forme
2-Détermine les nombres b3, b2, b1 et b0 tels que : P(x) = b3x³ + b2(x + 1)² + b1(x + 1)+ b0.
Solution
• P(x) = 2x − x³ + 5x(x² − x) + 4x − 3 + 2x²
= 2x − x³+5x³ − 5x² + 4x − 3 + 2x²
= −x³+5x³ − 5x² + 2x² + 2x + 4x − 3
= 4x³ − 3x² + 6x − 3.
• P(x) = b3x³ + b2(x + 1)² + b1(x + 1) + b0
= b3x³ + b2(x² + 2x + 1) + b1x + b1 + b0
= b3x³ + b2x² + (b1 + 2b²)x + b2 + b1 + b0
Cette écriture de P(x) étant unique, on a par identification

Donc P(x) = 4x³ − 3(x + 1)² + 12(x + 1) − 12.
Exercice 3
Ecris chacun des polynômes suivants sous la forme de produit de polynômes du premier degré.
R(x) = x³– 27 S(x) = x³– 6×2 + 12x -8
Solution
R(x) = x³– 27 = (x − 3)(x² + 3x + 9)
Factorisons si possible x² + 3x + 9

Donc x² + 3x + 9 n’est pas factorisable par conséquent R(x) = (x − 3)(x² + 3x + 9)
S(x) = x³– 6x² + 12x -8= x³ − 3 × x² × 2 + 3 × x × 2² − 2³ = (x − 2)³
Exercice 4
En utilisant la forme canonique, factorise chacun des polynômes suivants si cela est possible.
P(x) = x² + 4x + 2
Q(x) = 2x²-4x +8
R(x) = x²-2x + 5
Solution
Exercice 5
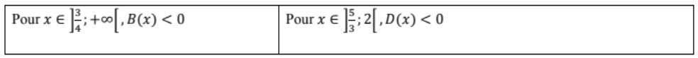
C ( x )Etudie le signe de chacun des polynômes suivants :
A(x) = 5x – 2 ; B(x) = −4x + 3 ; C ( x ) = (x – 3) ( 4 x + 2 ) ; D (x) = (2 − x) ( 3 – 5 x)

![]()
Exercice 6
Etudie le signe de chacun des polynômes suivants :
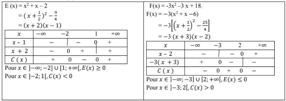
E (x) = x² + x – 2 ; F(x) = -3x²–3 x + 18.

Exercice 7
On considère le polynôme P défini par : P(x) = 2x³ + 7x² + 2x − 3.
1. Justifie que P(x) = (2x − 1)(x + 1)(x + 3).
2. Détermine les zéros de P.
Solution :
1. . Justifions que P(x) = (2x − 1)(x + 1)(x + 3).
Développons (2x − 1)(x + 1)(x + 3) = (2x − 1)(x² + 4x + 3)
= 2x³ + 8x² + 6x − x² − 4x − 3x − 3
= 2x³ + 7x² + 2x − 3
= P(x)
Donc P(x) = (2x − 1)(x + 1)(x + 3).
2 Déterminons les zéros de P.
α est un zéro de P si et seulement α est solution de l’équation P(x) = 0
P(x) = 0 ⟺ (2x − 1)(x + 1)(x + 3) = 0.
⟺ (2x − 1) = 0 ou (x + 1) = 0 ou (x + 3) = 0
⟺ x = ½ ou x = −1 ou x = −
Les zéros de P sont ½ ; −1 et − 3.
Exercice 8
On considère le polynôme P défini par P(x) = 2x³ − 3x² − 3x + 2.
1. Justifie que ½ est un zéro de P.
2. Ecris sous forme canonique le polynôme Q défini par Q(x) = x² − x − 2.
3. En utilisant la question 2, factorise Q(x).
4. Vérifie que P(x) = (2x − 1)Q(x)
5. Détermine les zéros de P.
Solution
1. Justifions que½ est un zéro de P.

2.Ecris sous forme canonique le polynôme Q défini par Q(x) = x² − x − 2
Q(x) = (x − 1)² − 1 − 2
Q(x) = (x − 1)² − 3
Q(x) = (x − 1)² − (√3)2
Q(x) = (x − 1 − (√3)) (x − 1 + (√3))
2 Vérifions que P(x) = (2x − 1)Q(x)
(2x − 1)(x² − x − 2.)= 2x³ − 2x² − 4x − x² + x + 2.
= 2x³ − 3x² − 3x + 2 = P(x)
3. Détermine les zéros de P.
α est un zéro de P si et seulement α est solution de l’équation P(x) = 0
P(x) = 0 ⟺ (2x − 1)(x − 1 − (√3)) (x − 1 + (√3))=0
⟺ (2x − 1) = 0 ; ou x − 1 − (√3))= 0 ; ou (x − 1 + (√3))=0
⟺ x = ½; ou x = 1 + (√3)) ; ou (x = 1 − (√3))
Les zéros de P. sont : ½ ; 1 + (√3)) et 1 − (√3))
Exercice 9
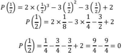
On donne P(x) = −2x³ + 7x² − 12x + 9.

3. Ecris, si possible, le quotient sous forme de produit de polynômes de 1er degré.
4. Etudie le signe de P(x) suivants les valeurs de x.
5. Sans calculer, donne le signe des nombres suivants : P(4000) , P(√3) , P(−2008).
Solution :


3. Ecrivons, si possible, le quotient sous forme de produit de polynômes de 1er degré.
Posons Q(x) = −2x² + 4x − 6
Q(x) = −2[x² − 2x + 3]
Q(x) = −2[(x − 1)² − 1 + 3]
Q(x) = −2[(x − 1)² + 2]
4. Etudions le signe de P(x) suivants les valeurs de x.

5 .Sans calculer, donne le signe des nombres suivants : P(4000) , P(√3) , P(−2008)

Exercice 10 :

Solution
Déterminons les nombres réels tel que

Par identification on a :

You must be logged in to take the quiz.
