A- SITUATION D’APPRENTISSAGE
Au premier trimestre de l’année 2020, le premier élève en mathématiques de la classe 2nd C1 et celui de la classe de 2nd C2 d’un lycée ont eu les notes suivantes (en mathématiques).

Des élèves des deux classes veulent savoir qui des deux premiers est le « plus fort » en
mathématiques. Sachant que les deux ont la même moyenne, ces élèves décident de comparer la répartition de chacune des séries de notes autour de cette moyenne.
B-CONTENU DE LA LECON
1 Effectifs cumulés ; Fréquences cumulées
1. Définition
Soit une série statistique à caractère quantitatif (xi; ni) dont les modalités ne sont pas regroupées en classe.
– L’effectif cumulé croissant (respectivement décroissant) d’une modalité est la
somme des effectifs des modalités inferieurs (respectivement supérieur) ou égales à
cette modalité.
– La fréquence cumulée croissante (respectivement décroissante) d’une modalité est
la somme des fréquences des valeurs inférieures (respectivement supérieures) ou
égales à cette modalité.
Exemple :
On a relevé les notes de mathématiques de deux élèves de 2ndC dans le tableau suivant :

Les effectifs cumulés croissants et les effectifs cumulés décroissants sont consignés dans le tableau suivant :


2. Polygone des effectifs cumulés, Polygone des fréquences cumulées
Exemple :
Le tableau ci-dessous donne l’âge des professeurs d’un lycée

Représentation
Pour présenter le polygone des effectifs cumulés croissants (respectivement décroissants) d’une série statistique dont les modalités sont des classes, on procède comme suit :
– On place chaque point dont l’abscisse est la borne supérieure (respectivement
inferieure) de la classe sauf pour le premier point (respectivement dernier point) et
l’ordonnée de l’effectif cumulé croissant (respectivement décroissant) qui lui
correspond.
– On trace ensuite les segments qui relient chacun de ces points. Le graphique ainsi
obtenu est appelé polygone des effectifs cumulés croissant (décroissant)

II- Paramètres de position et paramètres de dispersion
1) Paramètres de position
Les valeurs donnant une idée de l’ordre de grandeur des observations sont appelées les
caractéristiques de position.
a.Mode et classe modale
On appelle mode d’une série statistique toute modalité d’effectif maximal (ou de fréquence maximale).
Lorsque les modalités sont des intervalles de même amplitude, on parle de classe modale. La classe modale est toute classe d’effectif maximal. Le centre d’une classe modale est appelé mode de la série statistique.
Exemple
Dans une maternité, on mesure la taille de 50 nouveau-nés à 1 cm près. On a obtenu le tableau suivant :

Le mode de cette série est 49 cm
b. Moyenne
Soit une série statistique (xi, ni)1 ≤ i ≤p d’effectif total N.
Exemple :

La moyenne de cette série statistique est :
![]()
c. Médiane
Définition : La médiane d’une série statistique est la modalité qui partage la population
en deux (2) parties de même effectif ou de même fréquence.
Précisément, la médiane est la modalité dont l’effectif cumulé est N/2 où N est l’effectif total.
Exemple 1 :
Un groupe d’élèves a obtenu les notes suivantes : 1 ; 2 ; 5 ; 7 ; 8 ; 10 ; 17 ; 20 ; 25
Cette série a un effectif impair (9). La médiane de cette série statistique correspond à la
modalité de rang 9+1/2= 5. C’est-à-dire 8.
Exemple 2 :
On donne la série statistique suivante : 6 ; 7 ; 8 ; 11 ; 17 ; 5 ; 10 ; 15
Cette série a un effectif pair (8). La médiane de cette série statistique correspond au centre de l’intervalle formé par les modalités de rangs 8/2 et 8/2 + 1 c’est-à-dire de rangs 4 et 5. La modalité de rang 4 est 11 et celle de rang 5 est 17. Donc la médiane est 11+17/2 c’est-à-dire 14.
Remarques
• Pour déterminer la médiane, il faut ranger les modalités dans l’ordre croissant.
• La détermination de la médiane se fait aussi à l’aide des polygones des effectifs (ou des
fréquences) cumulés croissants ou (et) décroissants.
L’abscisse du point d’intersection de ces deux polygones est la médiane de cette série statistique.
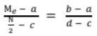
• Pour déterminer algébriquement la médiane d’une série statistique regroupée en classes, on peut procéder comme suit :
On dresse le tableau des effectifs cumulés croissants, puis on identifie la classe dont
l’effectif cumulé croissant est N/2
Soit [a; b[ cette classe
On note Me la médiane à chercher.
On utilise une partie du tableau des effectifs cumulés croissants; on a :

d est l’effectif cumulé croissant de [a; b[ et c est celui de l’intervalle qui précède [a; b[
La médiane de cette série est définie par le calcul suivant :
![]()
Exercice de fixation
Une étude statistique portant sur les distances parcourues par des automobiles fait
apparaitre la répartition suivante :

Calcule la médiane de cette série statistique.
Solution
Dressons le tableau des effectifs cumulés croissants.

L’effectif cumulé de la médiane est : 88/2= 44
On a le tableau suivant :

2. Paramètres de dispersion
Les valeurs donnant une idée de l’étalement des observations sont appelées
caractéristiques de dispersion. Les paramètres de dispersion permettent de mesurer la
façon dont les valeurs du caractère sont reparties autour de la moyenne et de la médiane.
a) Étendue
L’étendue d’une série statistique est la différence entre la plus grande et la plus petite
valeur (modalité) de cette série.
Elle mesure la dispersion de la série.
On a relevé dans supermarché le montant en millier de francs des dépenses effectuées
par les clients pour une journée.

L’étendue de cette série est 250 − 0 = 250
b) Écart- moyen ; Écart absolu moyen
L’écart moyen est le nombre réel :
![]()
Où (xi, ni) est la série statistique de moyenne x̅ et P le nombre de modalité.
L’écart moyen permet de rendre compte si la répartition des individus de la série statistique est proche ou éloignée de la moyenne.
Exemple
Un relevé du nombre de postes dans les cybercafés d’une commune nous permet de
dresser le tableau ci-dessous :

Le nombre moyen de postes dans les cybercafés de cette commune est 10,5
L’écart moyen est :
![]()
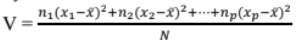
2.3 Variance ; Écart-type
• La variance V d’une série statistique est la moyenne des carrés des écarts à la
moyenne on a :
![]()
où (xi, ni) est la série statistique de moyenne x̅; p le nombre de modalités et
N l’effectif total
• L’écart-type notée σ (sigma) est la racine carrée de la variance : σ = √V
Interprétation
Plus l’écart-type est grand, plus la dispersion est importante
Exemple
Un relevé du nombre de postes dans les cybercafés d’une commune nous permet de dresser le tableau ci-dessous :

La moyenne de cette série est 10,5.
Sa variance est :

C- Situation complexe
Des élèves de seconde C d’un lycée de Bouaké découvrent le texte suivant dans une revue :
« Un institut de consommation analyse 100 fromages d’une laiterie qui fabrique des fromages et les vend avec la mention : 45% de matières grasses ». Il a obtenu les résultats suivants;

Cet institut autorise la vente de fromages sous l’étiquette « 45 % de matières grasses » si
l’analyse d’un échantillon de fromage donne :
– La moyenne des taux de matières grasses comprise entre 44 et 46
– L’écart-type inférieur à 1,5.
– 95 % des fromages ont un taux de matières grasses comprise entre la moyenne diminuée de deux fois l’écart-type et la moyenne augmentée de deux fois l’écart-type.
L’un des élèves affirme que l’institut va interdire la vente des fromages de cette laiterie.
Après discussion entre élèves, et le sachant sans preuves fiables, les autres élèves cherchent à vérifier cette affirmation afin de mettre fin aux désaccords causés.
SOLUTION
Pour résoudre ce problème nous allons utiliser nos connaissances sur la leçon statistique.
Pour cela nous allons :
– calculer la moyenne et l’écart-type de la série.
– conclure.

2- Le nombre total de fromage est 100 alors 95% de fromage est 95. Déterminons une
estimation du taux a de matières grasses correspondant à 95 fromages.

On a :

la moyenne diminuée de deux fois l’écart-type est 44,24 – 2×(1,026) = 42,188
la moyenne augmentée de deux fois l’écart-type est 44,24 + 2×(1,026) = 42,292
Après calcul, on remarque que la moyenne calculée ( 44,24 ) est comprise entre 44 et 46 ;
l’écart-type calculé (1,026) est inférieur à 1,5 et enfin le taux de matières grasses calculé soit 45, 85 est compris entre 42,188 et 46,292 ; ce qui est vrai.
Donc l’institut va autoriser la vente des fromages de la laitière. L’élève n’a pas raison.
D- EXERCICES DE RENFORCEMENT
Exercices de fixation
Exercice 1
Écris le numéro d’un élément du tableau 1 à la lettre correspondante d’un seul élément du tableau 2

SOLUTION
1°) B ; 2°) D ; 3°) A ; 4°) C
Exercice 2
Écris le numéro de l’affirmation suivi de VRAI si cette affirmation est vraie et FAUX si cette affirmation est fausse.
1°) La médiane, la moyenne, le mode et la classe modale sont des paramètres de position
2°) La détermination de la médiane se fait uniquement par calcul algébrique
4°) L’écart moyen, la variance et l’écart-type sont des paramètres de dispersion
5°) Les intervalles suivants [16 ; 20 [,[22; 26 [ et [6 ; 11 [ ont la même amplitude
6°) Le centre d’une classe modale est appelé mode de la série statistique
SOLUTION
1°) Vrai ; 2°) Faux ; 3°) Faux ; 4°) Vrai ; 5°) Faux ; 6°) Vrai
Exercice 3
On a relevé la taille en centimètre de 40 élèves d’un collège du privé d’Abidjan, et on a obtenu les résultats suivants :
155 161 165 170 177 180 159 163 167 171
175 183 157 162 169 174 179 164 166 172
174 163 165 170 176 160 169 171 175 162
167 174 172 174 164 166 173 169 173 168
1-a) Regroupe les tailles par classes d’amplitude 5 cm. La première étant : [155 ; 160 [ .
b) Combien de classes obtiens tu ?
2-Dresse le tableau des effectifs de cette série statistique.
3-Quelle est les classes modales de cette série statistique ?
SOLUTION
1- a°) les classes obtenues sont : [155; 160 [ , [160 ; 165 [ , [165 ; 170 [ ,
[170 ; 175 [ ,[175 ; 180 [ et [180 ; 185[
b°) J’ai obtenu 6 classes
2- Tableau des effectifs
![]()
3- Les classes modales sont : [165 ; 170 [ , et [170 ; 175 [
Exercice 4
Le tableau ci-dessous donne une étude statistique portant sur la vitesse des véhicules dans une ville.

a) Calcul la moyenne et l’écart-type de cette série statistique.
b) Interprète les résultats obtenus.
SOLUTION

b) La valeur de l’écart-type (9,43) est grande. Cela montre que cette série est très dispersée.
Exercice 5
La répartition des salaires en milliers de francs dans une entreprise est donnée par le tableau suivant :

a) Calcul la moyenne de cette série statistique
b) Complete le tableau
c) Trace sur le même graphique le polygone des effectifs cumulés croissants et
celui des effectifs cumulés décroissants
d) Détermine graphiquement la médiane, Interprète le résultat.
SOLUTION

b) Tableau des effectifs cumulés


c) Polygone des effectifs cumulés croissants et polygone effectifs cumulés décroissants
(voir graphique ci-dessous)

Graphiquement La médiane est 1165
Interprétation
50% des salaires sont inférieurs à 1165 et 50% des salaires sont supérieurs à 1165.
You must be logged in to take the quiz.
